09.12.16
Мода на здоровый образ жизни стала возвращаться. Ежедневно тысячи людей посещают места для проведения оздоровительных тренировок — спортивные залы, фитнес-центры, бассейны. Каждое из них имеет в наличии специальное электрическое оборудованием или инвентарь, а это значит, что такие сооружения должны отвечать определенным требованиям электробезопасности.
Как выполнить молниезащиту и заземление для спортивного зала? Расскажем в нашем примере расчета от технических специалистов.
Исходные данные:
- удельное сопротивление грунта — 100 Ом*м (суглинок);
- длина — 42 м;
- ширина — 19 м;
- высота стен — 9,55 м;
- высота в коньке — 11,14 м.

Рисунок 1. Габаритные размеры объекта.
Спортивные залы относятся к «обычным», в соответствии с СО и к 3-ей категории, согласно РД. Необходимая надежность — 0,9.
Согласно ПУЭ-7, п. 1.7.103, общее сопротивление растеканию заземлителей (в том числе естественных) всех повторных заземлений PEN-проводника каждой ВЛ в любое время года должно быть не более 10 Ом при линейном напряжении 380 В источника трехфазного тока или 220 В источника однофазного тока.
Защита зданий и сооружений от разрядов молнии осуществляется с помощью молниеотводов. Молниеотвод представляет собой возвышающееся над защищаемым объектом устройство, через которое ток молнии, минуя защищаемый объект, отводится в землю. Оно состоит из молниеприемника, непосредственно воспринимающего на себя разряд молнии, токоотвода и заземлителя.
Необходимые мероприятия по защите от молнии
Комплекс мероприятий по обеспечению необходимых требований к системе молниезащиты представлен следующими решениями:
- Установка двух вертикальных молниеприемников-мачт высотой 5,7 метров по краям конька кровли (см. рис.1).
- Монтаж заземляющего устройства, состоящего из трех вертикальных электродов длиной 3 метра, объединенных горизонтальным электродом (омедненная полоса 30х4 мм). Расстояние от горизонтального электрода до объекта не менее 1 метра, расстояние между вертикальными электродами 21 метр. Заглубление 0,5 – 0,7 метра.
- Все металлические объекты на кровле подключаются к токоотводам.
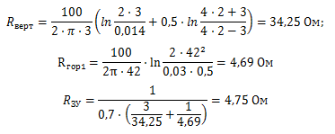
Расчет сопротивления заземляющего устройства:

Расчетное сопротивление заземляющего устройства составляет 4,75 Ом, что меньше допустимого сопротивления 10 Ом.
Итоги расчета проведенного с помощью программного обеспечения, разработанного ОАО «Энергетический институт им. Г.М.Кржижановского» (ОАО «ЭНИН»):
Плотность разрядов молнии в землю — 6 ударов/кв. км в год.
Полное число ударов в систему — 0,067 (раз в 90 лет).
Суммарное число прорывов — 0,0069.
Надежность системы — 0.9..
Вероятность прорыва во все объекты системы — 0,01 (раз в 131 год).

Рисунок 2. Расположение оборудования.
Таблица 1. Перечень оборудования и необходимых материалов.
Если у вас возникли вопросы по поводу молниезащиты спортивных сооружений, обращайтесь в Технический центр ZANDZ!
Смотрите также:
- Как организовано заземление станков?
- Нужна ли защита от молнии вокзалу?
- Почему заземление треугольником устарело?















.jpg)




