
Для безопасной работы обслуживающего персонала и правильного протекания технологических процессов необходимо выполнять молниезащиту и заземление на винодельческом хозяйстве. Недавно в Технический центр ZANDZ поступил такой запрос. Рассмотрим предложенное нами решение подробнее.
Расчет молниезащиты винодельческого хозяйства.
Объект: павильон водоподготовки на винодельческом хозяйстве.

Рисунок 1 - План объекта.
Задача: Выполнить расчеты системы молниезащиты павильона водоподготовки на винодельческом хозяйстве.
Защита зданий и сооружений от разрядов молнии осуществляется с помощью молниеотводов. Молниеотвод – это возвышающееся над защищаемым объектом устройство, через которое ток молнии, минуя защищаемый объект, отводится в землю. Оно состоит из молниеприемника, непосредственно принимающего на себя разряд молнии, токоотвода и заземлителя.
Решения по обеспечению требований к системе молниезащиты ангара:
1. Молниезащита выполнена в соответствии с ПУЭ 7-е изд., СО 153-34.21.122-2003 «Инструкция по устройству молниезащиты зданий, сооружений и промышленных коммуникаций» (далее СО) и РД 34.21.122-87 «Инструкция по устройству молниезащиты зданий и сооружений» (далее РД).
2. Объект относится к 3-й категории молниезащиты. Надежность системы должна быть не менее 0,9.
3. В расчет применяем объекты, которые находятся рядом, а именно пожарные резервуары;
4. Установка 1-го вертикального молниеприемника высотой 7 м на стене ((ZZ-201-007-3);
5. Все металлоконструкции и коммуникации на кровле должны быть присоединены к токоотводам;
6. Прокладка горизонтального заземлителя. Заземлитель выполнен из коррозионностойкой полосы стальной омедненной сечением 4х30 мм (GL-11075), глубина заложения 0,5 м, расстояние до стены здания не менее 1 м;
7. В местах спуска токоотводов выполняется установка 2-х вертикальных электродов (омедненных штырей диаметром 14 мм.) длиной 3 м;
8. Соединение вертикальных и горизонтальных электродов между собой осуществляется с помощью зажимов ZZ-005-064. Кол-во зажимов берется с запасом для соединения полосы по длине;
9. Соединение токоотвода с выводом омедненной полосы из земли осуществляется с помощью контрольного зажима GL-11562A;
10. В случае наличия существующего ЗУ, следует объединить их в одно общее ЗУ в соответствии с ПУЭ п.1.7.55.
Плотность разрядов молнии в землю – 4 удара/кв. км в год;
Полное число ударов в систему – 0,026 (раз в 38 лет);
Суммарное число прорывов – 0,0023 (раз в 435 лет);
Надежность системы – 0,912;
Вероятность прорыва во все объекты системы – 0,088.
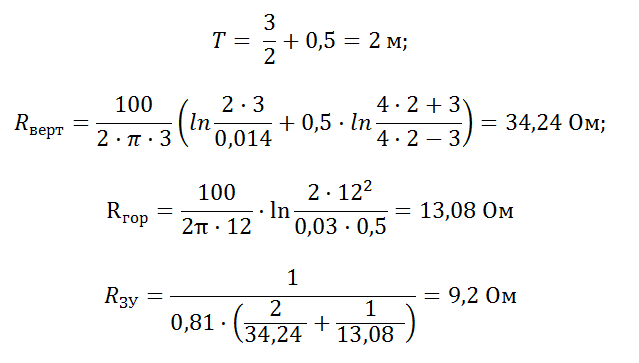
Расчет сопротивления заземляющего устройства:
Расчетное сопротивление заземляющего устройства составляет 9,2 Ом.

На рисунке 2 показано расположение оборудования.
В таблице 1 приведен перечень необходимого оборудования и материалов.
Рисунок 2 - Расположение оборудования для молниезащиты винодельческого хозяйства.
Таблица 1 – Перечень потребности в материалах.
У вас возникли вопросы по молниезащите винодельческих хозяйств? Обращайтесь за помощью в Технический Центр ZANDZ!
[ Код новостного блока для вставки на Ваш сайт ] [ RSS лента для подписки на новости ]




















