
*Изображение сгенерировано нейросетью
В технический центр ZANDZ в последнее время достаточно часто приходят обращения по расчёту молниезащиты контейнерных АЗС а также АЗС-роботов, которые получили большое распространение, за счёт того, что требуют минимального землеотвода, монтируются быстро, без большого количества земляных работ и работ по благоустройству, а при эксплуатации не требуют постоянного присутствия персонала.
В данном случае объектом установки молниезащиты является наружная установка – контейнерная АЗС, находящаяся на в г. Москве, Московской области.
Мероприятия выполнены в соответствии с ПУЭ 7-е изд. Глава 1.7, СО 153-34.21.122-2003 «Инструкция по устройству молниезащиты зданий, сооружений и промышленных коммуникаций» (далее СО) и РД 34.21.122-87 «Инструкция по устройству молниезащиты зданий и сооружений» (далее РД).
Защищаемое сооружение относится к специальному, представляющему опасность для непосредственного окружения с точки зрения молниезащиты с надёжностью от ПУМ 0,99 в соответствии с п. 9 Таблицы 2.1 СО и к II категории, с зоной защиты Б согласно п. 3 Таблицы 1 РД. На дыхательных патрубках зона В1г учитывается в расчёте молниезащиты согласно п. 2.18 РД –зоны В1г представляет собой цилиндр высотой 2,5 м и радиусом 5 м.
Защита сооружения от разрядов молнии осуществляется с помощью молниеотвода. Молниеотвод представляет собой возвышающееся над защищаемым объектом устройство, через которое ток молнии, минуя защищаемый объект, отводится в землю. Оно состоит из молниеприёмника, непосредственно воспринимающего на себя разряд молнии, токоотвода и заземлителя.
Молниезащита объекта
Комплекс мероприятий по обеспечению необходимых требований к системе молниезащиты представлен следующими решениями:
- выполняется установка 1 отдельно стоящего молниеприёмника высотой 15 м;
Конструкция молниеприёмника должна выдерживать климатические нагрузки той местности, где он устанавливается:
Климат места установки:
Московская область, г. Москва
Ветровой район по СП 20.13330.2016 – I
Снеговой район СП 20.13330.2016 – III
Сейсмический район СП 14.13330.2014 Карты ОСР A B C – 5 5 5
Климатическое исполнение по ГОСТ 16350-80 – II5 умеренный
Температура воздуха наиболее холодных суток °С обеспеченностью 0,98 согласно СП 131.13330.2012 – минус 35 °C
- молниеприёмник защищает объект в соответствии с зоной защиты Б РД 34.21.122-87;
- радиусы защиты и высоты, на которых строятся зоны защиты, показаны на плане в отдельном файле (зоны на высоте 2,8 м – высота контейнерной АЗС, 7,3 м – зона В1г дыхательного клапана АЗС размером H=2,5м и R=5м).
Комплекс мероприятий по обеспечению необходимых требований к заземляющему устройству представлен следующими решениями:
- монтаж заземляющего устройства, состоящего из горизонтального электрода (полоса омеднённая стальная сечением 4x30 мм) глубина 0,5 м длиной 35 м и 4 вертикальных электродов (штырей из омеднённой стали диаметром 14 мм) длиной 3 м;
- соединение вертикальных и горизонтальных электродов между собой осуществляется с помощью ZZ-005-064;
- конструкция заземляющего устройства соответствует пункту 1.7.55 ПУЭ. Заземляющие устройства защитного заземления и заземления для молниезащиты объектов 2 и 3 категории выполняются общими.
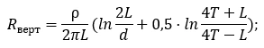
Расчёт сопротивления заземляющего устройства
По информации заказчика грунт представлен суглинком. Удельное электрическое сопротивление грунта принимается равным 100 Ом∙м характерным для суглинков.
Сопротивление горизонтального электрода:

где ρ – удельное сопротивление грунта, Ом·м;
b - ширина полосы горизонтального электрода, м;
h - глубина заложения горизонтального электрода, м;
Lгор – длина горизонтального электрода, м.
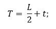
Сопротивление вертикального электрода:

где ρ – удельное сопротивление грунта, Ом·м;
L – длина вертикального электрода, м;
d – диаметр вертикального электрода, м;
T– заглубление - расстояние от поверхности земли до заземлителя, м;

где t – заглубление верха электрода, м
Полное сопротивление заземляющего устройства:

где n – количество комплектов;
kисп – коэффициент использования;

Расчётное сопротивление заземляющего устройства составляет 3,93 Ом, что меньше требуемого сопротивления 8 Ом/4 Ом и соответствует п.9.18 РД 153-39.2-080-01, также меньше сопротивления 4 Ом, в соответствии с пунктом 1.7.101 ПУЭ, а также меньше сопротивления 10 Ом и соответствует п. 8 РД 34.21.122-87 и п. 5.4.1 ГОСТ 59789-2021 и может использоваться в качестве заземляющего устройства молниезащиты.
Перечень потребности материалов
| Поз. | Рисунок | Артикул | Наименование | Кол-во |
| Система молниезащиты | ||||
| 1 | ZZ-201-015 | Молниеприёмник вертикальный 15 м (оцинк. сталь; с закладной под фундамент; I-III ветровой район; I-V снеговой район, 6 сейсмический район) | 1 | |
| Заземляющее устройство | ||||
| 2 | ZZ-11075-50 | ZANDZ Полоса омедненная стальная (30*4 мм; бухта 50 метров) | 1 | |
| 3 | ZZ-005-064 | ZANDZ Зажим для подключения проводника (до 40 мм) | 6 | |
| 4 | ZZ-001-065 | ZANDZ Штырь заземления омедненный резьбовой (D14; 1,5 м) | 8 | |
| 5 | ZZ-002-061 | ZANDZ Муфта соединительная резьбовая | 5 | |
| 6 | ![]() |
ZZ-003-061 | ZANDZ Наконечник стартовый | 4 |
| 7 | ZZ-004-060 | ZANDZ Головка направляющая для насадки на отбойный молоток | 2 | |
| 8 | ZZ-006-000 | ZANDZ Смазка токопроводящая | 1 | |
| 9 | ZZ-007-030 | ZANDZ Лента гидроизоляционная | 2 | |
| 10 | ZZ-008-000 | ZANDZ Насадка на отбойный молоток (SDS max) | 1 | |
Приложение: проект в форматах DWG и PDF
Вам требуется выполнить проект по заземлению и молниезащите? Закажите его, обратившись в Технический центр ZANDZ.com!
Остались вопросы по данному расчету? Задайте его в комментарии к этой странице!
Смотрите также:
Пример проекта молниезащиты и заземления мебельной фабрики в Республике Саха



