Пятая часть статьи "Об антизащите от молнии".
Читайте предыдущую часть "4. Глубинный заземлитель".
Нормативные требования по их молниезащите можно найти только в Инструкции РД 34.21.122-87, которая продолжает использоваться в практике проектирования молниезащиты. Норматив не допускает размещения молниеотводов на таких сооружениях, предписывая их обязательную защиту отдельно стоящими молниеприемниками. Из длинного перечня допустимых расстояний между молниеприемником и защищаемым сооружением явствует, что минимально возможное из них равно 3 м.
А теперь совершенно правомочный вопрос о безопасности установки молниеприемника на таком расстоянии. Для ответа на него не потребуется анализировать электрическую прочность воздуха. Речь пойдет исключительно об электромагнитном воздействии на взрывоопасное сооружение. К большому сожалению, в цитированном нормативном документе о нем даже не упоминалось.
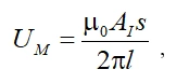
Ток молнии в молниеотводе создает магнитное поле, природа которого ничем не отличается от поля в канале молнии. Проникая сквозь стену защищаемого сооружения, оно возбуждает там ЭДС магнитной индукции в любом замкнутом контуре. Если экранирующий эффект стенок сооружения мал, при среднем расстоянии l в контуре площадью s максимально может возбудиться напряжение

где μ0 = 4π10-7 Гн/м – магнитная проницаемость вакуума, AI – крутизна фронта тока молнии, l усредненное расстояние до рассматриваемого контура. Если, например, ориентироваться на предельно возможную крутизну фронта импульса тока 2×1011 А/с, на расстоянии 3 м от проводника ЭДС магнитной индукции в контуре площадью s составит
UM/s = 13 000 В/м2.
Контур площадью около 1 м2 легко образуется, например, металлической стремянкой или даже случайным нагромождением брошенных на пол проводников. Возникшее в нем напряжение порядка 10 кВ вполне достаточно для пробоя воздушного промежутка длиной в несколько миллиметров. Возникшая искра в состоянии поджечь горючую газовую или пылевую смесь во внутреннем объеме защищаемого взрывоопасного сооружения.
На лицо явный, двояко выраженный элемент антизащиты. Характерно, что создан он не случайными людьми, а квалифицированными специалистами в области молниезащиты. Негативный результат содеянного можно различить далеко не всегда и не сразу.
Прием тока молнии молниеотводом никак не исключает воздействия его электромагнитного поля на внутреннее пространство взрывоопасного сооружения. Тем самым выбор малого расстояния молниеотвода от взрывоопасного сооружения следует рассматривать как элемент антизащиты. В таких условиях. сохраняется опасность поджига горючих паров или взвесей в объеме сооружения за счет возбуждения ЭДС магнитной индукции в любом случайно созданном проводящем контуре, когда возбужденное напряжение будет достаточным для пробоя возникшего там искрового промежутка хотя бы миллиметровой длины.
Читайте далее "Вместо заключения"
Э. М. Базелян, д.т.н., профессор
признанный отечественный Эксперт в области заземления и молниезащиты
Смотрите также:
Молниезащита зданий рядовой высоты со сплошным остеклением стен Э. М. Базелян

