В данном проекте разработаны решения по молниезащите и заземлению мебельной фабрики в Республике Саха (Якутия), с учетом удельного сопротивления грунта 1000 Ом·м. Подобрана конструкция системы и выполнен расчет заземляющего устройства в соответствии с требованиями ПУЭ, РД 34.21.122-87 и ГОСТ Р 59789-2021, СО 153-34.21.122-2003.

* Изображение мебельной факбрики сгенерировано нейросетью
Исходные данные
- объект: мебельная фабрика;
- расположение объекта: Республика /САХА/ Якутия;
- размеры объекта: 72х72 м;
- высота объекта: 14,69 м;
- кровля: кровельная сэндвич-панель;
- материал стен: сэндвич-панель;
- удельное электрическое сопротивление грунта: 1000 Ом*м.
Общие данные
Технические решения принятые в проектной документации соответствуют требованиям экологических, санитарно-гигиенических, противопожарных и других норм действующих на территории Российской Федерации и обеспечивают безопасную для жизни и здоровья людей эксплуатацию объекта, при соблюдении предусмотренных проектными чертежами мероприятий. Проектная документация соответствует требованиям действующих нормативных документов.
Молниезащита объекта
Фабрика относится к "обычным" с точки зрения "ИНСТРУКЦИИ ПО УСТРОЙСТВУ МОЛНИЕЗАЩИТЫ ЗДАНИЙ, СООРУЖЕНИЙ И ПРОМЫШЛЕННЫХ КОММУНИКАЦИЙ" СО 153-34.21.122-2003 и к "III категории" в соответствии с "ИНСТРУКЦИЕЙ ПО УСТРОЙСТВУ МОЛНИЕЗАЩИТЫ ЗДАНИЙ И СООРУЖЕНИЙ" РД 34.21.122-87.
Молниезащита фабрики выполнена в соответствии с РД 34.21.122-87, при помощи молниеприемников на бетонных основаниях высотой 4 м. Согласно РД 34.21.122-87, табл.1 зона защиты - Зона Б.
Подключение к токоотводам выполняется при помощи держателей, входящих в комплект молниеприемников. Установка бетонных оснований выполняется на кровельные маты.
Вентшахты защищаются при помощи металлических колпаков, которые присоединятся к токоотводу.
В качестве токоотвода применяется стальная омедненная проволока d8 мм (ZZ-11149).
Установка токоотводов осуществляется при помощи держателей ZZ-11711 - на кровле, ZZ-11747 - на вертикальных поверхностях и парапетах. Шаг установки зажимов 0,6-1,0 м
Для соединения проката по длине и в узлах используется универсальный зажим ZZ-11551.
В качестве вертикального заземлителя используются комплекты электролитического заземления (ZZ-100-102). Расстояние между заземлителями не менее 6 м, расстояние до фундаментов объекта - не менее 3 м.
В качестве горизонтального заземлителя используется омедненная стальная полоса сечением 30х4 мм, объединяющая все вертикальные электроды по контуру объекта. Расстояние до фундамента объекта не менее 1 м. Заглубление полосы 0,5 м.
Согласно ПУЭ-7 изд., п.1.7.55 Заземляющие устройства защитного заземления электроустановок зданий и сооружений и молниезащиты 2-й и 3-й категорий этих зданий и сооружений, как правило, должны быть общими.
При наличии ж/б токоотводам/заземляющему устройству. конструкций их необходимо присоединить к токоотводам/заземляющему устройству.
Подключение к заземляющему устройству выполняется при помощи зажимов ZZ-005-064.
Конструкция заземляющего устройства объекта соответствует требованиям РД 34.21.122-87, п.2.26 и "конфигурации В" по ГОСТ Р 59789-2021, п.5.4.2.2.
Материалы и сечения всех проводников, принятых в данном проекте, соответствуют ГОСТ Р 50571.5.54-2024.
Сопротивление заземляющего устройства системы молниезащиты, согласно ГОСТ Р 59789-2021, п.5.4.1, не должно превышать 10 Ом.
Согласно ПУЭ-7 изд., п.1.7.101, сопротивление заземляющего устройства должно быть не более 4 Ом.
Расчёт сопротивления заземляющего устройства
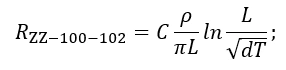
Сопротивление комплекта электролитического заземления ZZ-100-102:

где C – безразмерный коэффициент, описывающий содержание электролита в окружающем грунте;
ρ – эквивалентное удельное сопротивление грунта, Ом·м;
L – длина вертикального электрода, м;
d – диаметр вертикального электрода, м;
T – заглубление - расстояние от поверхности земли до заземлителя, м;
Сопротивление горизонтального электрода:

где ρ – удельное сопротивление грунта, Ом·м;
b - ширина горизонтального электрода, м;
h - глубина заложения горизонтального проводника, м;
Lгор – длина горизонтального электрода, м.
Полное сопротивление заземляющего устройства:

где n – количество комплектов;
kисп – коэффициент использования;

Расчетное сопротивление заземляющего устройства составляет 3,78 Ом, что соответствует требованиям ПУЭ, п.1.7.101, ГОСТ Р 59789-2021, п.5.4.1.
Расположение элементов молниезащиты и заземления на мебельной фабрике
Перечень необходимых материалов
Приложение: проект в форматах DWG и PDF

Вам требуется выполнить проект по заземлению и молниезащите? Закажите его, обратившись в Технический центр ZANDZ.com!
Остались вопросы по данному расчету? Задайте его в комментарии к этой странице!
Смотрите также:

