
Исходные данные для разработки проекта в части заземления:
- объект: центральный тепловой пункт (ЦТП), расположенный на территории ГОКа;
- расположение объекта: Якутская обл.;
- размеры ЦТП: 19,5х21 м;
- высота РВС: 10,8;
- удельное электрическое сопротивление грунта: 1000 Ом*м.
Общие данные
Технические решения, принятые в проектной документации, соответствуют требованиям экологических, санитарно-гигиенических, противопожарных и других норм, действующих на территории Российской Федерации, и обеспечивают безопасную для жизни и здоровья людей эксплуатацию объекта, при соблюдении предусмотренных проектными чертежами мероприятий. Проектная документация соответствует требованиям действующих нормативных документов.
В данном разделе рассмотрено решение по молниезащите и заземлению центрального теплового пункта (ЦТП) для горно-обогатительного комбината (ГОК) расположенного в Якутской обл.
Объект относится к "обычным" с точки зрения "ИНСТРУКЦИИ ПО УСТРОЙСТВУ МОЛНИЕЗАЩИТЫ ЗДАНИЙ, СООРУЖЕНИЙ И ПРОМЫШЛЕННЫХ КОММУНИКАЦИЙ" СО 153-34.21.122-2003 и к "III категории" в соответствии с "ИНСТРУКЦИЕЙ ПО УСТРОЙСТВУ МОЛНИЕЗАЩИТЫ ЗДАНИЙ И СООРУЖЕНИЙ" РД 34.21.122-87. Необходимая надежность системы молниезащиты должна быть не менее 0,9.
Согласно СО 153-34.21.122-87, п.3.3.1. В общем случае выбор молниеотводов должен производиться при помощи соответствующих компьютерных программ, способных вычислять зоны защиты или вероятность прорыва молнии в объект (группу объектов) любой конфигурации при произвольном расположении практически любого числа молниеотводов различных типов.
В дополнении к СО 153-34.21.122-2003, "РЕКОМЕНДАЦИИ ПО ЭКСПЛУАТАЦИОННО ТЕХНИЧЕСКОЙ ДОКУМЕНТАЦИИ, ПОРЯДКУ ПРИЕМКИ В ЭКСПЛУАТАЦИЮ И ЭКСПЛУАТАЦИИ УСТРОЙСТВ МОЛНИЕЗАЩИТЫ" указано:
При проверке надежности защиты с использованием программного обеспечения приводятся данные компьютерных расчетов в виде сводки проектных вариантов и формируется заключение об их эффективности.
Расчеты надежности системы молниезащиты выполнены в соответствии с техническим циркуляром № 25/2009 ассоциации «РОСЭЛЕКТРОМОНТАЖ» «ОБ ИСПОЛЬЗОВАНИИ СПЕЦИАЛИЗИРОВАННОГО ПРОГРАММНОГО ОБЕСПЕЧЕНИЯ ДЛЯ РАСЧЕТА ЭФФЕКТИВНОСТИ ЗАЩИТНОГО ДЕЙСТВИЯ МОЛНИЕОТВОДОВ», в котором сказано:
При проектировании системы внешней молниезащиты объектов рекомендуется руководствоваться следующим:
Для оптимального построения зон защиты зданий и сооружений сложной формы, имеющих разновысокие крыши, выступающие шпили, башни, переменную геометрию, зданий высотой более 150 м, комплексов зданий и других сложных объектов следует использовать соответствующие программные продукты, например, «Программу расчета эффективности стержневых и тросовых молниеотводов статистическим методом», разработанную ОАО «ЭНИН».
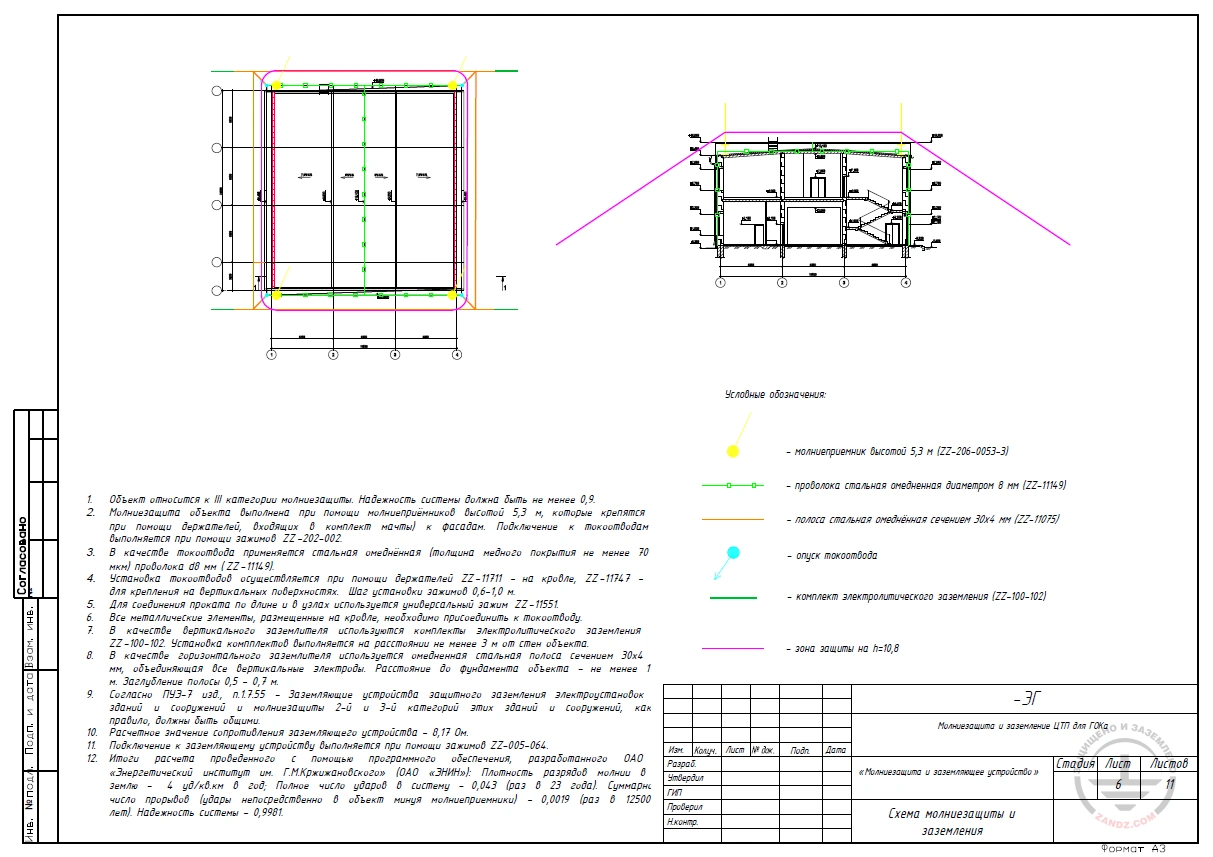
Молниезащита объекта выполнена при помощи 4 молниеприёмников высотой 5.3 м, которые устанавливаются на фасадах объекта.
В соответствии с РД 34.21.122-87, табл.1 - зона защиты для объекта - Зона Б.
Согласно ПУЭ-7 изд., п.1.7.55 - Заземляющие устройства защитного заземления электроустановок зданий и сооружений и молниезащиты II и III категорий этих зданий и сооружений, как правило, должны быть общими.
Сопротивление заземляющего устройства должно быть не более 10 Ом.
Материалы и сечения всех используемых в проекте проводников соответствуют требованиям ГОСТ Р 50571.5.54-2013 и ПУЭ-7 изд., включая нововведения Технического циркуляра №11 от 10.10.2006 г.
Протокол, сформированный по итогам расчётов надёжностей системы молниезащиты, приведен в приложении 1 к проекту в файле PDF.
Расчет сопротивления заземляющего устройства
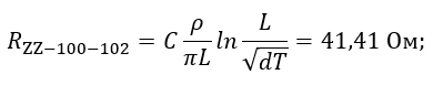
Сопротивление комплекта ZZ-100-102:

где C – безразмерный коэффициент, описывающий содержание электролита в окружающем грунте 0,125;
ρ – эквивалентное удельное сопротивление грунта, 1000 Ом·м;
L – длина вертикального электрода, 2,4 м;
d – диаметр вертикального электрода, 0,065 м;
T– заглубление - расстояние от поверхности земли до заземлителя, 0.6 м;
Сопротивление горизонтального электрода:

где ρ – удельное сопротивление грунта, 1000 Ом·м;
b - ширина горизонтального электрода, 0,03 м;
h - глубина заложения горизонтального проводника, 0,5 м;
Lгор – длина горизонтального электрода, 98 м.
Полное сопротивление заземляющего устройства:

где n – количество комплектов, 4 шт.;
kисп – коэффициент использования горизонтального заземлителя, 0,7;
kисп – коэффициент использования комплектов заземления, 0,95.
Расчетное сопротивление заземляющего устройства составляет 8,17 Ом, что соответствует требованиям ПУЭ, п.1.7.101, ГОСТ Р 59789-2021, п.5.4.1.
Расчет зоны защиты в соответствии с СО 153-34.21.122-2003:
h = 14,8 м;
Высота конуса согласно СО табл. 3.4:

Радиус конуса согласно СО табл. 3.4:

Для зоны защиты требуемой надежности радиус rx на высоте hх =10,8 м определяется:

Расстояние между молниеприемниками (максимальное):
L = 22 м;
Предельное расстояние между молниеприемниками, согласно СО, табл.3.6:

Высота провеса зоны защиты отсутствует.

Схема расположения элементов заземления и молниезащиты центрального теплового пункта (ЦТП) на территории ГОКа
Спецификация
Защищенность объекта от молний обеспечивается только при использовании молниеприемников ZANDZ определенной расчетом высоты, наименования и артикулы которых, указаны в спецификации и коммерческом предложении.
Приложение: проект в форматах DWG и PDF

Вам требуется выполнить проект по заземлению и молниезащите? Закажите его, обратившись в Технический центр ZANDZ.com!
Остались вопросы по данному расчету? Задайте его в комментарии к этой странице!
Смотрите также:

