Взрывоопасные объекты, такие как автозаправочные станции, должны быть заземлены. В частности речь пойдёт о заземлении хранилища топлива и островка заправки в Сибирском федеральном округе.

В Технический центр ZANDZ поступил запрос на расчёт заземления АЗС, рассмотрим какое решение было подготовлено.
Исходные данные:
-
план объекта;
-
удельное сопротивление грунта принятое для расчетов – 1000 Ом*м.
Задача:
рассчитать заземляющее устройство для заправочного островка и резервуаров, сопротивлением не более 4 Ом.
Комплекс мероприятий по обеспечению необходимых требований к заземляющему устройству (электролитическое заземление) представлен следующими решениями:
-
резервуары: установка 4 комплектов электролитического заземления ZZ-100-102 и выполнение контура заземления, при помощи стальной омеднённой полосы сечением 30х4 мм, по периметру площадки резервуаров на расстоянии не менее 1 м. Расстояние от электродов до коммуникаций и фундаментов должно быть не менее 3 м. Заглубление 0,5 – 0,7 м.
-
островок: установка 4 комплектов электролитического заземления ZZ-100-102 и выполнение контура заземления, при помощи стальной омеднённой полосы сечением 30х4 мм, по периметру островка на расстоянии не менее 1 м. Расстояние от электродов до коммуникаций и фундаментов должно быть не менее 3 м. Заглубление 0,5 – 0,7 м.
Расчет сопротивления заземляющего устройства резервуаров:
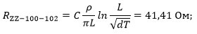
Сопротивление комплекта ZZ-100-102:

где С – безразмерный коэффициент, описывающий содержание электролита в окружающем грунте, 0,125;
р – эквивалентное удельное сопротивление грунта, 1000 Ом·м;
L – длина вертикального электрода, 2,4 м;
d – диаметр вертикального электрода, 0,065 м;
T – заглубление - расстояние от поверхности земли до заземлителя, 0,6 м;
Сопротивление горизонтального электрода:

где p – удельное сопротивление грунта, 1000 Ом·м;
b - ширина горизонтального электрода, 0,03 м;
h - глубина заложения горизонтального проводника, 0,5 м;
Lгор – длина горизонтального электрода, 59 м.
Полное сопротивление заземляющего устройства:

где n – количество комплектов, 4 шт.;
Kисп – коэффициент использования, 0,95 (электролитические), 0,7 (полоса).
Расчетное сопротивление заземляющего устройства составляет 8,96 Ом, что меньше требуемого сопротивления 10 Ом.
Расчет сопротивления заземляющего устройства заправочного островка:
Сопротивление комплекта ZZ-100-102:

где С – безразмерный коэффициент, описывающий содержание электролита в окружающем грунте, 0,125;
р – эквивалентное удельное сопротивление грунта, 1000 Ом·м;
L – длина вертикального электрода, 2,4 м;
d – диаметр вертикального электрода, 0,065 м;
T – заглубление - расстояние от поверхности земли до заземлителя, 0,6 м;
Сопротивление горизонтального электрода:

где p – удельное сопротивление грунта, 1000 Ом·м;
b - ширина горизонтального электрода, 0,03 м;
h - глубина заложения горизонтального проводника, 0,5 м;
Lгор – длина горизонтального электрода, 53 м.
Полное сопротивление заземляющего устройства:

где n – количество комплектов, 4 шт.;
Kисп – коэффициент использования, 0,95 (электролитические), 0,7 (полоса).
Расчетное сопротивление заземляющего устройства составляет 9,1 Ом, что меньше требуемого сопротивления 10 Ом.
Расположение оборудования показано на рисунке 1.
Рисунок 1 - расположение оборудования.
Перечень необходимых материалов приведен в таблице 1.
Таблица 1 – Перечень потребности материалов.
| № | Рисунок | Артикул | Наименование | Количество, шт. |
| 1. | ![]() |
ZZ-100-102 | ZANDZ Комплект электролитического заземления (горизонтальный; 3 метра) | 8 |
| 2. | ![]() |
ZZ-005-064 | ZANDZ Зажим для подключения проводника (до 40 мм) | 40 |
| 3. | ![]() |
GL-11075-50 | GALMAR Полоса омеднённая (30*4 мм / S 120 мм²; бухта 50 метров) | 3 |
| 4. | ![]() |
ZZ-007-030 | ZANDZ Лента гидроизоляционная | 11 |
У вас возникли вопросы или нужно рассчитать систему заземления для АЗС? Отправляйте запрос по адресу info@zandz.ru.
Смотрите также:





.png)
