Электробезопасность общественных мест имеет очень важное значение как при эксплуатации объекта в целом, так и для его пожарной безопасности в частности. Поэтому учебные учреждения должны быть защищены от прямого удара молнии и иметь хорошее заземляющее устройство.
В Технический Центр ZANDZ поступил запрос на расчет необходимого оборудования для молниезащиты и заземления учебного колледжа в Сибирском федеральном округе. Далее рассмотрим предложение технических специалистов.
Исходные данные:
-
объект: колледж;
-
размеры: 29 м х 20 м;
-
высота: 7,5 м;
-
план кровли;
-
удельное сопротивление грунта принять 100 Ом*м.
Задача:
-
сопротивление заземляющего устройства должно быть не более 4 Ом;
-
молниезащита колледжа должна быть выполнена при помощи молниеприёмной сетки.
Молниезащита и заземление колледжа выполнены в соответствии с:
Объект относится к “обычным” в соответствии с СО и к III категории молниезащиты по классификации РД.
Комплекс мероприятий по обеспечению систем молниезащиты и заземления для колледжа:
1. Молниезащита объекта выполнена при помощи молниеприемной сетки с шагом не более 10 м. Сетка выполнена из стальной омедненной (толщина медного покрытия не менее 70 мкм) проволоки d8 мм (GL-11149).
2. В качестве токоотвода применяется стальная омедненная (толщина медного покрытия не менее 70 мкм) проволока d8 мм (GL-11149).
3. Установка токоотводов осуществляется при помощи зажима GL-11711 - на кровле, GL-11703А - на вертикальных поверхностях и парапетах. Шаг установки зажимов 0,8-1,0 м.
4. Для соединения проката по длине и в узлах используется универсальный зажим GL-11551A.
5. Все металлические элементы, размещенные на кровле, необходимо присоединить к токоотводу при помощи зажимов GL-11545А. Лестницы, перила, присоединяются при помощи зажима-хомута GL-11514.
6. В качестве вертикального заземлителя используются омедненные стальные электроды длиной 3 м в местах опусков токоотводов. В качестве горизонтального заземлителя используется омедненная стальная полоса сечением 30х4 мм, объединяющая все вертикальные электроды. Расстояние до фундамента объекта - не менее 1 м. Заглубление полосы 0,5 - 0,7 м.
7. Согласно ПУЭ-7 изд., п.1.7.55 - Заземляющие устройства защитного заземления электроустановок зданий и сооружений и молниезащиты 2-й и 3-й категорий этих зданий и сооружений, как правило, должны быть общими.
8. Расчетное сопротивление заземляющего устройства - 1,99 Ом.
9. При наличии ж/б конструкций их необходимо присоединить к токоотводам/заземляющему устройству.
10. Подключение к заземляющему устройству выполняется при помощи зажимов ZZ-005-064.
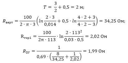
Расчет сопротивления заземляющего устройства:

Расчетное сопротивление заземляющего устройства составляет 1,99 Ом.
Схема расположения оборудования показана на рисунке 1.
Рисунок 1 - Схема расположения оборудования молниезащиты и заземления для колледжа.
Перечень необходимых оборудования и материалов приведен в таблице 1.
Таблица 1 - Перечень необходимых оборудования и материалов.
У вас возникли вопросы или нужно рассчитать систему молниезащиты для колледжа? Отправляйте запрос по адресу info@zandz.ru.
[ Код новостного блока для вставки на Ваш сайт ] [ RSS лента для подписки на новости ]



