Генерирующие установки требуют особого внимания к вопросам обеспечения электробезопасности. Потому подход к расчету сопротивления заземляющего устройства и молниезащиты должен быть на высшем уровне.
Технический центр ZANDZ получил техническое задание на расчет молниезащиты и заземления для дизель-генераторной установки (ДГУ). Инженеры техцентра предложили следующее решение:
Исходные данные:
- размеры: 7 м х 2,4 м;
- высота: 2,6 м;
- удельное сопротивление грунта 100 Ом*м.
Задача:
-
рассчитать систему внешней молниезащиты для дизель-генераторной установки;
-
рассчитать заземляющее устройство сопротивлением не более 4 Ом.
Решение:
Молниезащита и заземление дизель-генераторной установкивыполнены в соответствии с:
ДГУ относятся к 2-й категории молниезащиты. Необходимая надежность системы молниезащиты – не менее 0,99.
Согласно ПУЭ-7, п.1.7.101. Сопротивление заземляющего устройства, к которому присоединены нейтрали генератора или трансформатора или выводы источника однофазного тока, в любое время года должно быть не более 4 Ом соответственно при линейных напряжениях 380 В источника трехфазного тока или 220 В источника однофазного тока. Это сопротивление должно быть обеспечено с учетом использования естественных заземлителей, а также заземлителей повторных заземлений PEN- или PE-проводника ВЛ напряжением до 1 кВ при количестве отходящих линий не менее двух.
Комплекс мероприятий по обеспечению необходимых требований к системе молниезащиты представлен следующими решениями:
- Молниезащита выполнена при помощи 4х молниеприемников - мачт высотой 1,5 (см. рис.1).
- Устройство токоотводов с применением омедненной проволоки D=8 мм. Все мачты соединяются между собой для организации не менее двух отводов тока. Расположение оборудования на рис 1. Все металлические коммуникации должны быть присоединены к токоотводам.
- Монтаж заземляющего устройства, состоящего из 9 вертикальных электродов длиной 3 м, объединенных горизонтальным электродом (омедненная стальная полоса сечением 30х4 мм). Расстояние от электрода до стен здания не менее 1 м, заглубление 0,5 – 0,7 метра.
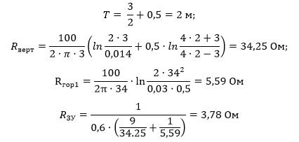
Расчет сопротивления заземляющего устройства:

Расчетное сопротивление заземляющего устройства составляет 3,78 Ом, что меньше допустимого сопротивления 4 Ом.
Итоги расчета зоны защиты в соответствии с СО:
Молниеприемник-мачта №1-4 (GL-21134):
h = 3,8 м;
Высота конуса согласно СО табл. 3.4:

Радиус конуса согласно СО табл. 3.4:

Расстояние между молниеприемниками:
L=7 м;
Предельные расстояния между молниеприемниками, согласно СО, табл.3.6:

Высота провеса отсутствует!
Плотность разрядов молнии в землю – 4 ударов/кв. км в год
Полное число ударов в систему – 0,0027 (раз в 370 лет);
Суммарное число прорывов – 0,00000034 (раз в 2941176 лет);
Надежность системы – 0,99988;
Вероятность прорыва во все объекты системы – 0,00012.
Перечень необходимых материалов приведен в таблице 1.
Рисунок 1 – Расположение оборудования молниезащиты и заземления дизель-генераторной установки.
Таблица 1 – Перечень потребности материалов.
У вас возникли вопросы или нужно рассчитать молниезащиту и заземление для дизель-генераторной установки? Отправляйте запрос по адресу info@zandz.ru.
Смотрите также:


















