Этим вопросом специалисты задаются давно. Учитывая, что удельное сопротивление грунта растет при уменьшении температуры, необходимо найти способ, который поможет решить данную проблему. Использование заземление на основе стандартных металлических вертикальных электродов может быть неэффективным, вследствие увеличения количества таких заземлителей и, соответственно, стоимости материалов и работ. Как же поступить в данной ситуации?

Существует два основных способа заземления в условиях вечной мерзлоты:
- Замена грунта вокруг электрода. Производится она, как правило, графитом и материалом на основе глины (материалами с достаточно высокой электрической проводимостью). Недостатком данного способа является высокая цена, а иногда и невозможность его выполнения.
- Еще одно известное решение для снижения удельного сопротивления – это засоление грунта. Суть решения заключается в том, что пространство вокруг электрода заполняется минеральными солями. Особенности данного решения заключаются в том, что в связи с природными явлениями – соль вымывается, за счет чего снижается эффективность работы заземлителей. Также химическая реакция заземлителей и соли, как правило, приводят к коррозии материала.
Какой же способ выбрать? Необходимо обратить внимание на совсем другой, современный способ, который применяется в заземлении в сложных скальных, вечномерзлых грунтах – электролитическое заземление. В зоне протайки вечномерзлого грунта на глубину 0,7 метра устанавливается полый электрод с перфорацией в горизонтальной части, который заполняется минеральной солью. Из окружающей среды эта смесь впитывает воду и превращается в электролит, далее проникая в грунт повышает его электропроводность и снижает удельное сопротивление, также уменьшая промерзания грунта.
Данный тип заземления используются в почве с высоким удельным сопротивлением – 300-500 Ом·м. В этом случае заземление выполняется без специальной техники насыпного грунта. Также возможен монтаж на объекте, где существует невозможность монтажа заземляющих электродов на глубину, более чем 1 метр.
Рассмотрим конкретный пример расчета сопротивления заземляющего устройства в условиях вечномерзлого грунта!
Решение: В соответствии с ПУЭ 7-е изд. Глава 1.7. выполнен комплекс мероприятий. Необходим расчет заземляющего устройства, сопротивление которого по требованию заказчика должно быть не более 10 Ом. Грунт в месте установки заземляющего устройства - вечномерзлый, преимущественно суглинок, имеет удельное сопротивление 1500 Ом·м.
Комплекс мероприятий по обеспечению необходимых требований к заземляющему устройству представлен двумя вариантами:
Вариант 1. Электролитическое заземление.
Для обеспечения нормируемого сопротивления ЗУ предлагается к применению электролитическое заземление ZANDZ ZZ-100-102, специально предназначенное для применения в вечномерзлых и каменистых грунтах.
-
Выполняется установка шести комплектов электролитического заземления ZANDZ ZZ‑100‑102. Комплекты устанавливаются на расстоянии 7 метров при параллельной установке для приемлемого коэффициента использования и оптимального объема распределения электролита в грунте.
-
Комплекты электролитики объединяются горизонтальным электродом из коррозионностойкой полосы стальной омедненной сечением 4х30 мм, глубина заложения 0,5 м.
-
До стены здания прокладывается горизонтальный электрод длиной 5 м.
-
В связи с образованием зоны талика в виде овала размером 3x6 метров, электроды необходимо разместить на соответствующем расстоянии от фундаментов зданий и других инженерных конструкций.

Рисунок 1. Схема расположения элементов заземляющего устройства
Расчет сопротивления заземляющего устройства:
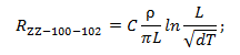
1). Сопротивление комплекта ZZ-100-102:

где C – безразмерный коэффициент, описывающий содержание электролита в окружающем грунте;
L – длина заземлителя, м;
d – диаметр заземлителя, м;
T – заглубление - расстояние от поверхности земли до заземлителя, м;
ρ – удельное сопротивление грунта, Ом·м.
2). Сопротивление горизонтального электрода:

где ρ – удельное сопротивление грунта, Ом·м;
b – ширина полосы горизонтального электрода, м;
h – глубина заложения горизонтальной сетки, м;
Lгор — длина горизонтального электрода, м;
3). Полное сопротивление заземляющего устройства:

где n – количество комплектов;
kисп – коэффициент использования;



Расчетное сопротивление заземляющего устройства составляет 9,4 Ом.
Перечень необходимого оборудования:
| № п/п | Рис. | Артикул |
Изделие
|
Кол-во |
|
1. |
![]() |
ZZ-100-102 | ZANDZ Комплект электролитического заземления (горизонтальный; 3 метра) | 6 |
| 2. | ![]() |
GL-11075-20 | GALMAR Полоса омеднённая (30*4 мм / S 120 мм²; бухта 20 метров) | 2 |
| 3. | ![]() |
ZZ-005-064 |
ZANDZ Зажим для подключения проводника (до 40 мм) |
8 |
| 4. | ![]() |
ZZ-007-030 | ZANDZ Лента гидроизоляционная | 3 |
Вариант 2. Модульное заземление
-
Выполняется горизонтальная сетка габаритами 60x70 м, шаг ячейки 10 м. Сетка выполнена из коррозионностойкой полосы стальной омедненной сечением 4х30 мм, глубина заложения 0,5 м.
-
Установка 56 вертикальных электродов диаметром 14 мм длиной 9 м в узлах горизонтальной сетки.
- До стены здания прокладывается горизонтальный электрод длиной 10 м.

Рисунок 2. Схема расположения элементов заземляющего устройства
Расчет сопротивления заземляющего устройства:
1). Сопротивление горизонтального электрода:

где ρ – удельное сопротивление грунта, Ом·м;
b – ширина полосы горизонтального электрода, м;
h – глубина заложения горизонтальной сетки, м;
Lгор — длина горизонтального электрода, м;
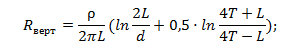
2). Сопротивление вертикального электрода:

где ρ – удельное сопротивление грунта, Ом·м;
L – длина вертикального электрода, м;
d – диаметр вертикального электрода, м;
T – заглубление - расстояние от поверхности земли до заземлителя, м;

где t – заглубление верха электрода, м
3). Полное сопротивление заземляющего устройства:

где n – количество комплектов;
kисп – коэффициент использования;



Расчетное сопротивление заземляющего устройства составляет 9,60 Ом.
Перечень необходимого оборудования:
|
№ п/п
|
Рис. | Артикул | Изделие | Кол-во |
| 1. | ![]() |
GL-11075-50 | GALMAR Полоса омеднённая (30*4 мм / S 120 мм²; бухта 50 метров) | 19 |
| 2. | ![]() |
GL-11075-20 | GALMAR Полоса омеднённая (30*4 мм / S 120 мм²; бухта 20 метров) | 1 |
| 3. | ![]() |
GL-11075-10 | GALMAR Полоса омеднённая (30*4 мм / S 120 мм²; бухта 10 метров) | 1 |
| 4. | ![]() |
ZZ-005-064 | 57 | |
| 5. | ![]() |
ZZ-001-065 | ZANDZ Штырь заземления омедненный резьбовой (D14; 1,5 м) | 336 |
| 6. | ![]() |
ZZ-002-061 | ZANDZ Муфта соединительная резьбовая | 281 |
| 7. | ![]() |
ZZ-003-061 | ZANDZ Наконечник стартовый | 56 |
| 8. | ![]() |
ZZ-004-060 | ZANDZ Головка направляющая для насадки на отбойный молоток | 68 |
| 9. | ![]() |
ZZ-008-000 | ZANDZ Насадка на отбойный молоток (SDS max) | 1 |
| 10. | ![]() |
ZZ-006-000 | ZANDZ Смазка токопроводящая | 29 |
| 11. | ![]() |
ZZ-007-030 | ZANDZ Лента гидроизоляционная | 19 |
Учитывая все расходы на материалы и работы мы можем сделать вывод, что целесообразнее применить электролитическое заземление. Так как затраты на электролитическое заземление в 2, 5 раза меньше, чем на модульное.
Подробная информация об электролитическом заземление здесь! У вас остались еще вопросы? Обращайтесь в наш Технический центр ZANDZ.com
[ Код новостного блока для вставки на Ваш сайт ] [ RSS лента для подписки на новости ]












.jpg)
