18.05.16
Дизель-генераторные установки (ДГУ), размещаемые в морском контейнере, получили широкое распространение для электроснабжения временных объектов, а также в качестве резервного источника питания. Генераторы в этом исполнении требуют такое же заземляющее устройство, как все другие источники напряжением 380 В. Давайте выясним, каким образом выполнить для них заземление и молниезащиту?

Пример дизель-генераторной установки
В соответствии с ПУЭ 7-е изд. Глава 1.7, сопротивление заземления должно быть не более 4 Ом. Контур может быть проложен вокруг контейнера, а при установке молниезащиты, также использоваться и для растекания молниевых токов. Решение, отражающее цели этих систем, не требует большой площади – заземлитель располагается по периметру контейнера на удалении одного метра и дополняется вертикальными электродами. Ниже подробно рассмотрен расчет и расположение заземления и молниезащиты для контейнера с дизель-генераторной установкой, расположенного в Сколково.
Комплекс мероприятий для молниезащиты:
- Выполняется установка двух молниеприёмников-мачт для крепления к вертикальным поверхностям высотой 1,5 м, крепление которого осуществляется к стене контейнера. Учтено, что 0,3 м длины стержня уходит на крепление.
- От каждого молниеприемника проложено два токоотвода с применением омедненной проволоки D=8 мм, которые соединяются с искусственным заземлителем. Крепление токоотводов к стене производится с помощью зажимов GL-11704A (шаг установки 0,6-1 м). Крепление токоотводов на крыше осуществляется с помощью зажимов GL-11747A.
Комплекс мероприятий для заземления:
- Прокладывается горизонтальный заземлитель вокруг контейнера. Заземлитель выполнен из коррозионностойкой полосы стальной омедненной сечением 4х30 мм (GL-11075), глубина заложения 0,5 м, расстояние до стены здания 1 м.
- В местах спуска токоотвода выполняется установка четырех вертикальных электродов длиной 3 м.
- Соединение горизонтальных электродов между собой осуществляется с помощью зажима ZZ-005-064.
- Соединение токоотвода с выводом омеднённой полосы из земли осуществляется с помощью контрольного зажима GL-11562A.
Расположение элементов системы молниезащиты и заземляющего устройства показано на рисунках 1 и 2.
Зона защиты, соответствующая зоне Б РД, показана на рисунке 3.

Рисунок 1 – План расположения элементов молниезащиты и заземляющего устройства

Рисунок 2 – Эскиз с расположением элементов молниезащиты и заземляющего устройства

Рисунок 3 – Зона защиты, соответствующая зоне Б РД
Расчёт молниезащиты:
Для расчёта приняты следующие исходные данные:
- Плотность разрядов молнии в землю – 4 уд/кв.км в год для г. Московской области;
- Число ударов в незащищённый объект – 0,0014 1/год, период - раз в 714 лет.
Результаты расчёта молниезащиты, проведённого с помощью программного обеспечения, разработанного ОАО "Энергетический институт им. Г.М.Кржижановского"(ОАО "ЭНИН") приведены в таблице 1.
Таблица 1 – Результаты расчёта молниезащиты
|
№ |
Объект |
Высота молние-приемника, м |
Надежность защиты |
Число ударов в объект, год - 1 |
Число прорывов в объект, год - 1 |
|
Период ударов, год |
Период прорывов, год |
||||
|
1 |
Контейнер |
1,5 |
0,949 |
0,0024 |
0,00012 |
|
раз в 416 лет |
раз в 8333 года |
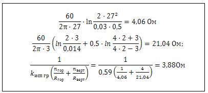
Расчёт сопротивления заземляющего устройства:
Расчётное значение удельного сопротивления вечномерзлого грунта глина принято равным 60 Ом∙м. Как было сказано ранее, в соответствии с ПУЭ 7-е изд. Глава 1.7.101 сопротивление заземляющего устройства, к которому присоединены нейтрали генератора или трансформатора или выводы источника однофазного тока, в любое время года должно быть не более 4 Ом при линейном напряжении 380 В источника трехфазного тока.
Расчётное сопротивление заземляющего устройства составляет 3,88 Ом, что меньше требуемого значения 4 Ом.
Перечень необходимых материалов приведен в таблице 2
Таблица 2 – Перечень потребности материалов
|
№ п/п |
Рис. |
Артикул |
Изделие |
Количество |
|
1. |
|
GL-21134 |
GALMAR Молниеприемник-мачта (1,5 метра; для вертикальных поверхностей; оцинкованная сталь) |
2 |
|
2. |
|
GL-11149-20 |
GALMAR Проволока омедненная стальная (D8 мм; бухта 20 метров) |
1 |
|
3. |
|
GL-11704A |
GALMAR Зажим к фасаду для токоотвода (крашенная оцинкованная сталь) |
6 |
|
4. |
|
GL-11747A |
7 |
|
| 5. |
GL-11562A |
2 |
||
|
6. |
|
ZZ-005-064 |
4 |
|
|
7. |
|
GL-11075-20 |
GALMAR Полоса омеднённая (30*4 мм / S 120 мм²; бухта 20 метров) |
1 |
|
8. |
|
GL-11075-10 |
GALMAR Полоса омеднённая (30*4 мм / S 120 мм²; бухта 10 метров) |
1 |
|
9. |
|
ZZ-001-065 |
8 |
|
|
10. |
|
ZZ-002-061 |
5 |
|
|
11. |
|
ZZ-003-061 |
4 |
|
|
12. |
|
ZZ-004-060 |
2 |
|
|
13. |
|
ZZ-006-000 |
1 |
|
|
14. |
|
ZZ-007-030 |
2 |
|
|
15. |
|
ZZ-008-000 |
1 |
Защита энергетических установок крайне важна. Их область применения обширна, включая использование в резервных и аварийных источниках электроэнергии. Если вам необходима помощь в расчёте, обратитесь в наш Технический центр ZANDZ.com!
[ Код новостного блока для вставки на Ваш сайт ] [ RSS лента для подписки на новости ]
Смотрите также:


