Известно много пожаров на хранилищах нефтегазовых продуктов (резервуарные парки) в результате прямого попадания молнии, потому подход к разработке систем молниезащиты и заземления для таких объектов должен быть на высоком уровне.

Технический Центр ZANDZ получил запрос на разработку молниезащиты резервуара вертикального стального объёмом 20000 м3 (РВС-20000). Далее мы рассмотрим какое решение мы подготовили.
Исходные данные:
- объём РВС: 20000 м3;
- диаметр РВС: 39,9 м;
- высота РВС: 18 м;
- толщина верхнего пояса стенки: 10 мм;
- толщина нижнего пояса стенки: 16 мм:
- количество поясов стенки: 12 поясов;
- наличие дыхательного клапана: имеется;
- удельное электрическое сопротивление грунта: 100 Ом*м.
Задача: Рассчитать систему молниезащиты и заземления.
Мероприятия выполнены в соответствии с:
- ПУЭ 7-е изд, далее (ПУЭ);
- СО 153-34.21.122-2003 «Инструкция по устройству молниезащиты зданий, сооружений и промышленных коммуникаций» (далее СО);
- РД 34.21.122-87 «Инструкция по устройству молниезащиты зданий и сооружений» (далее РД).
Объект относится к «специальным, представляющим опасность для непосредственного окружения», в соответствии с СО и к II категории, согласно РД.
Согласно с РД, п.2.6 и п.2.18 - над дыхательным клапаном защищается пространство в виде полушария R=5 м, Н=5 м.
Защита зданий и сооружений от разрядов молнии осуществляется с помощью молниеотводов. Молниеотвод представляет собой возвышающееся над защищаемым объектом устройство, через которое ток молнии, минуя защищаемый объект, отводится в землю. Оно состоит из молниеприемника, непосредственно воспринимающего на себя разряд молнии, токоотвода и заземлителя.
Комплекс мероприятий по обеспечению необходимых требований к системе молниезащиты РВС-20000 представлен следующими решениями:
- В качестве молниеотводов применяются молниеприёмники-мачты для приварки к металлоконструкции высотой 14 м (крепление до 2-х м от верхней отметки).
- В качестве токоотвода используется корпус РВС.
- Корпус РВС подключается к заземляющему устройству в местах подключения молниеприёмноков.
- В качестве вертикальных заземлителей используются штыри из нержавеющей стали длиной 3 м.
- В качестве горизонтального заземлителя используется оцинкованная стальная полоса сечением 40х4 мм, объединяющая все заземлители. Заглубление полосы 0,5 - 0,7 м. Расстояние до корпуса/фундамента РВС - не менее 1 м.
- Подключение к заземляющему устройству выполняется при помощи зажимов ZZ-005-064.
Расчет сопротивления заземляющего устройства:
Сопротивление вертикального электрода:

где ρэкв – эквивалентное удельное сопротивление грунта - 100 Ом·м;
L – длина вертикального электрода - 3 м;
d – диаметр вертикального электрода - 0,016 м;
T – заглубление - расстояние от поверхности земли до заземлителя - 2 м;

где t – заглубление верха электрода - 0,5 м
Сопротивление горизонтального электрода:

где ρ – удельное сопротивление грунта - 100 Ом·м;
b - ширина горизонтального электрода - 0.04 м;
h - глубина заложения горизонтального проводника - 0.5 м;
Lгор – длина горизонтального электрода - 132 м.
Полное сопротивление заземляющего устройства:

где n – количество комплектов, вертикальные заземлители - 4 шт., горизонтальный заземлитель – 1 шт. ;
Kисп – коэффициент использования, 0,75;
Расчетное сопротивление заземляющего устройства составляет 1,92 Ом.
Итоги расчета зоны защиты в соответствии с СО:
Молниеприемник-мачта №1 - 4 (ZZ-201-014-3):
h = 30 м;
Высота конуса согласно СО табл. 3.4:
h0 = 0.8*h = 24 м;
Радиус конуса согласно СО табл. 3.4:
r0 = 0.8*h = 24 м;
Расстояние между молниеприемниками:
L = 28,2 м;
Предельное расстояние между молниеприемниками, согласно СО, табл.3.6:
Lmax = 4,75*h = 142,5 м;
L0 = 2,25*h = 67,5 м;
Высота провеса зоны защиты отсутствует.
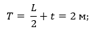
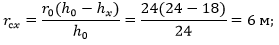
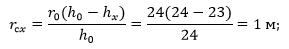
Для зоны защиты требуемой надежности радиус rx на высоте hх =18 м определяется:

Для зоны защиты требуемой надежности радиус rx на высоте hх =23 м определяется:

Размещение оборудования и зона защиты показаны на рисунке 1.
Перечень оборудования и необходимых материалов приведен в таблице 1.

Рисунок 1 – Расположение оборудования и зона защиты.
Таблица 1 – Перечень потребности материалов.
| № | Артикул | Наименовани | Количество, шт. | Масса ед., кг | Примечание |
| 1. | ZZ-201-014-3 | Молниеприёмник-мачта ZANDZ вертикальный 14 м (оцинк.сталь; под приварку) | 4 | ||
| 2. | ZZ-502-404-38 | Полоса ZANDZ стальная оцинкованная (40*4 мм; бухта 38,5 м) | 4 | 1,26 | В метрах |
| 3. | ZZ-001-165 | ZANDZ НЕРЖ Штырь заземления из нержавеющей стали резьбовой (D16; 1,5 м; 5/8 UNC) | 8 | 2,35 | |
| 4. | ZZ-002-161 | ZANDZ НЕРЖ Муфта соединительная резьбовая из нержавеющей стали (5/8 UNC) | 5 | 0,082 | |
| 5. | ZZ-003-061 | ZANDZ Наконечник стартовый | 4 | 0,05 | |
| 6. | ZZ-004-060 | ZANDZ Головка направляющая для насадки на отбойный молоток | 2 | 0,09 | |
| 7. | ZZ-005-064 | ZANDZ Зажим для подключения проводника (до 40 мм) | 12 | 0,16 | |
| 8. | ZZ-006-000 | ZANDZ Смазка токопроводящая | 1 | 0,10 | |
| 9. | ZZ-007-030 | ZANDZ Лента гидроизоляционная | 3 | 0,40 | |
| 10. | ZZ-008-000 | ZANDZ Насадка на отбойный молоток (SDS max) | 1 | 0,50 |
У вас возникли вопросы по заземлению и молниезащите РВС-20000? Обращайтесь в Технический Центр ZANDZ! Или на сайт ZandZ в Казахстане.
Смотрите также:
[ Код новостного блока для вставки на Ваш сайт ] [ RSS лента для подписки на новости ]

