Проектирование и строительство новых центральных тепловых пунктов сопровождается необходимостью предусмотреть молниезащиту и заземление на ранних этапах.

В Техническоий центр ZANDZ поступил запрос на расчёт молниезащиты и заземления центрального теплового пункта. Рассмотрим далее решение, которое мы подготовили.
Исходные данные:
-
объект: центральный тепловой пункт;
-
размеры: 16 м х 15 м х 3,5 м;
-
удельное сопротивление грунта – 300 Ом*м.
Задача:
-
рассчитать систему внешней молниезащиты;
-
рассчитать заземляющее устройство сопротивлением не более 4 Ом.
Мероприятия выполнены в соответствии с:
- ПУЭ 7-е изд.;
- СО 153-34.21.122-2003 «Инструкция по устройству молниезащиты зданий, сооружений и промышленных коммуникаций» (далее СО);
- РД 34.21.122-87 «Инструкция по устройству молниезащиты зданий и сооружений» (далее РД).
Центральный тепловой пункт относится к «обычным», в соответствии с СО и к 3-й категории, согласно РД.
Комплекс мероприятий по обеспечению необходимых требований к системам молниезащиты и заземления центрального теплового пункта представлен следующими решениями:
1. Молниезащита объекта выполнена при помощи молниеприемников-мачт высотой 2 м (GL-21131), которые устанавливаются на бетонных основаниях. Подключение к токоотводам осуществляется при помощи зажима входящего в комплект.
2. В качестве токоотвода применяется стальная омедненная (толщина медного покрытия не менее 70 мкм) проволока d8 мм (GL-11149).
3. Установка токоотводов осуществляется при помощи зажима GL-11711 - на кровле, GL-11703А - на вертикальных поверхностях. Шаг установки зажимов 0,8-1,0 м.
4. Для соединения проката по длине и в узлах используется универсальный зажим GL-11551A.
5. Все металлические элементы, размещенные на кровле, необходимо присоединить к токоотводу при помощи зажимов GL-11545А. Лестницы, перила, присоединяются при помощи зажима-хомута GL-11514N.
6. В качестве вертикального заземлителя используются омедненные стальные электроды длиной 30 м в местах опусков токоотводов и по краям контура. В качестве горизонтального заземлителя используется омедненная стальная полоса сечением 30х4 мм, объединяющая все вертикальные электроды. Расстояние до фундамента объекта - не менее 1 м. Заглубление полосы 0,5 - 0,7 м.
7. Согласно ПУЭ-7 изд., п.1.7.55 - Заземляющие устройства защитного заземления электроустановок зданий и сооружений и молниезащиты 2-й и 3-й категорий этих зданий и сооружений, как правило, должны быть общими.
8. При наличии ж/б конструкций их необходимо присоединить к токоотводам/заземляющему устройству.
9. Подключение к заземляющему устройству выполняется при помощи зажимов ZZ-005-064.
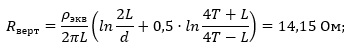
Расчет сопротивления заземляющего устройства:
Сопротивление вертикального электрода:

где ρэкв – эквивалентное удельное сопротивление грунта - 300 Ом·м;
L – длина вертикального электрода - 30 м;
d – диаметр вертикального электрода - 0,014 м;
T – заглубление - расстояние от поверхности земли до заземлителя - 15.5 м;

где t – заглубление верха электрода - 0,5 м
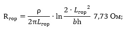
Сопротивление горизонтального электрода:

где ρ – удельное сопротивление грунта - 300 Ом·м;
b - ширина горизонтального электрода - 0,03 м;
h - глубина заложения горизонтального проводника - 0,5 м;
Lгор– длина горизонтального электрода - 23 м.
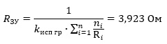
Полное сопротивление заземляющего устройства:

где n – количество комплектов, вертикальные заземлители - 4 шт., горизонтальный заземлитель – 1 шт. ;
Kисп – коэффициент использования, 0,65;
Расчетное сопротивление заземляющего устройства составляет 3,923 Ом.
Итоги расчета зоны защиты в соответствии с СО:
Молниеприемник-мачта №1 - 5 (GL-21130):
h = 5 м;
Высота конуса согласно СО табл. 3.4:
h0 = 0,85*h = 4,25 м;
Радиус конуса согласно СО табл. 3.4:
r0 = 1,2*h = 6 м;
Расстояние между молниеприемниками (максимальное):
L = 12,8 м;
Предельные расстояния между молниеприемниками, согласно СО, табл.3.6:
Lmax = 5,75*h = 28,75 м;
L0 = 2,5*h = 12,5 м;
Высота провеса:

Для зоны защиты требуемой надежности радиус rx на высоте hх = 3,5 м определяется:

Для зоны защиты требуемой надежности радиус горизонтального сечения rсx на высоте hx = 9 м определяется:

Размещение оборудования и зона защиты показаны на рисунке 1.
Перечень оборудования и необходимых материалов приведен в таблице 1.
Рисунок 1 – Расположение оборудования.
Таблица 1 – Перечень потребности материалов.
| № | Артикул | Наименование | Количество, шт | Масса ед., кг | Примечание |
| 1. | GL-21131 | GALMAR Молниеприемник-мачта (2 м; на одном бетонном основании; оцинкованная сталь) | 7 | ||
| 2. | GL-11149-50 | GALMAR Проволока омеднённая (D 8 мм / S 50 мм²; бухта 50 метров) | 1 | 0,41 | Вес 1 м. |
| 3. | GL-11149-20 | GALMAR Проволока омеднённая (D 8 мм / S 50 мм²; бухта 20 метров) | 1 | 0,41 | Вес 1 м. |
| 4. | GL-11545A | GALMAR Зажим на водосточный желоб для токоотвода (крашенная оцинкованная сталь) | 5 | 0,112 | |
| 5. | GL-11551A | GALMAR Зажим для соединения токоотводов (крашенная оцинкованная сталь) | 20 | 0,07 | |
| 6. | GL-11711 | GALMAR Зажим на плоскую крышу для токоотвода (пластик, бетон) | 70 | 1 - 1,2 | |
| 7. | GL-11703A | GALMAR Зажим к фасаду для токоотвода с его возвышением над зажимом на 15 мм (крашенная оцинкованная сталь) | 10 | 0,02 | |
| 8. | GL-11514N | GALMAR Зажим - хомут на водосточную трубу для токоотвода (луженная медь) | 5 | 0,076 | |
| 9. | GL-11075-50 | GALMAR Полоса омеднённая (30*4 мм / S 120 мм²; бухта 50 метров) | 1 | 0,98 | Вес 1 м. |
| 10. | ZZ-001-065 | ZANDZ Штырь заземления омедненный резьбовой (D14; 1,5 м) | 80 | 2,00 | |
| 11. | ZZ-002-061 | ZANDZ Муфта соединительная резьбовая | 80 | 0,08 | |
| 12. | ZZ-003-061 | ZANDZ Наконечник стартовый | 4 | 0,07 | |
| 13. | ZZ-004-060 | ZANDZ Головка направляющая для насадки на отбойный молоток | 16 | 0,09 | |
| 14. | ZZ-005-064 | ZANDZ Зажим для подключения проводника (до 40 мм) | 7 | 0,16 | |
| 15. | ZZ-006-000 | ZANDZ Смазка токопроводящая | 8 | 0,10 | |
| 16. | ZZ-007-030 | ZANDZ Лента гидроизоляционная | 3 | 0,40 | |
| 17. | ZZ-008-000 | ZANDZ Насадка на отбойный молоток (SDS max) | 1 | 0,50 |
У вас возникли вопросы по заземлению и молниезащите центрального теплового пункта? Обращайтесь в Технический Центр ZANDZ!
Смотрите также:
[ Код новостного блока для вставки на Ваш сайт ] [ RSS лента для подписки на новости ]


