Неотъемлемой составляющей при возведении взрывоопасного объекта или сооружения является молниезащита. А что делать, если поблизости такого объекта располагается более высокое здание?

В таком случае это здание используется как естественный молниеотвод. В Техническоий центр ZANDZ.поступил запрос на расчёт систем молниезащиты склада для хранения дизтоплива в г. Самара.
Мероприятия выполнены в соответствии с:
- ПУЭ 7-е изд.;
- СО 153-34.21.122-2003 «Инструкция по устройству молниезащиты зданий, сооружений и промышленных коммуникаций» (далее СО);
- РД 34.21.122-87 «Инструкция по устройству молниезащиты зданий и сооружений» (далее РД).
Склад относится к «специальным, представляющим опасность для непосредственного окружения», в соответствии с СО и к 2-й категории, согласно РД..
Исходные данные:
- объект: склад для хранения дизтоплива;
- регион расположения: г. Самара;
- размеры защищаемого объекта: 1,05х2,05х2,5 м;
- материал контейнера – профилированный лист толщиной не более 1 мм;
- в 5,3 м от объекта находится гараж, высотой 7,87 м;
- удельное сопротивление грунта – 150 Ом*м.
Комплекс мероприятий по обеспечению необходимых требований к системе молниезащиты склада для хранения дизтоплива представлен следующими решениями:
- установка вертикального молниеприемника-мачты высотой 1,5 м (GL-21134) к фасаду контейнера с одной стороны, с противоположной стороны в качестве молниеприёмника (естественного) используется здание гаража.(см. рис.1);
- монтаж заземляющего устройства, согласно РД, п.2.2г., состоящего из 3х вертикальных электродов длиной 3 м, объединенных горизонтальным электродом (омедненная полоса 30х4 мм) по контуру склада. Расстояние от горизонтального электрода до объекта не менее 1 м, заглубление 0,5 – 0,7 метра.
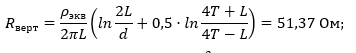
Расчет сопротивления заземляющего устройства:
Сопротивление вертикального электрода:

где ρэкв – эквивалентное удельное сопротивление грунта - 150 Ом·м;
L – длина вертикального электрода - 3 м;
d – диаметр вертикального электрода - 0,014 м;
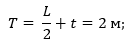
T – заглубление - расстояние от поверхности земли до заземлителя - 2 м;

где t – заглубление верха электрода - 0,5 м
Сопротивление горизонтального электрода:

где ρ – удельное сопротивление грунта - 150 Ом·м;
b - ширина горизонтального электрода - 0,03 м;
h - глубина заложения горизонтального проводника - 0,5 м;
Lгор – длина горизонтального электрода - 14 м.
Полное сопротивление заземляющего устройства:

где n – количество комплектов, вертикальные заземлители - 3 шт., горизонтальный заземлитель – 1 шт. ;
Kисп – коэффициент использования, 0,65;
Расчетное сопротивление заземляющего устройства составляет 13,26 Ом.
Итоги расчета зоны защиты в соответствии с СО:
Молниеприемник-мачта №1 (GL-21134):
h = 3,7 м;
Высота конуса согласно СО табл. 3.4:

Радиус конуса согласно СО табл. 3.4:

Молниеприемник-мачта №2 (Гараж):
h = 7,87 м;
Высота конуса согласно СО табл. 3.4:

Радиус конуса согласно СО табл. 3.4:

Расстояние между молниеприемниками:
L = 7,35 м;
Предельное расстояние между молниеприёмниками, согласно СО, табл.3.6 (принимаем высоту наименьшего из молниеприёмников):

Высота провеса отсутствует.
Размещение оборудования и зона защиты показаны на рисунке 1.
Перечень оборудования и необходимых материалов приведен в таблице 1.

Рисунок 1 – Расположение оборудования.
Таблица 1 – Перечень потребности материалов.
| № | Рисунок | Артикул | Наименование | Количество, шт |
| 1. | ![]() |
GL-21134 | GALMAR Молниеприемник-мачта (1,5 метра; для вертикальных поверхностей; оцинкованная сталь) | 1 |
| 2. | ![]() |
GL-11149-10 | GALMAR Проволока омеднённая (D 8 мм / S 50 мм²; бухта 10 метров) | 1 |
| 3. | ![]() |
GL-11704A | GALMAR Зажим к фасаду для токоотвода (крашенная оцинкованная сталь) | 3 |
| 4. | ![]() |
ZZ-001-065 | ZANDZ Штырь заземления омедненный резьбовой (D14; 1,5 м) | 6 |
| 5. | ![]() |
ZZ-002-061 | ZANDZ Муфта соединительная резьбовая | 4 |
| 6. | ![]() |
ZZ-003-061 | ZANDZ Наконечник стартовый | 3 |
| 7. | ![]() |
ZZ-004-060 | ZANDZ Головка направляющая для насадки на отбойный молоток | 2 |
| 8. | ![]() |
ZZ-006-000 | ZANDZ Смазка токопроводящая | 1 |
| 9. | ![]() |
ZZ-008-000 | ZANDZ Насадка на отбойный молоток (SDS max) | 1 |
| 10. | ![]() |
ZZ-005-064 | ZANDZ Зажим для подключения проводника (до 40 мм) | 5 |
| 11. | ![]() |
ZZ-007-030 | ZANDZ Лента гидроизоляционная | 2 |
| 12. | ![]() |
GL-11075-20 | GALMAR Полоса омеднённая (30*4 мм / S 120 мм²; бухта 20 метров) | 1 |
У вас возникли вопросы по заземлению и молниезащите склада для хранения дизтоплива? Обращайтесь в Технический Центр ZANDZ!
[ Код новостного блока для вставки на Ваш сайт ] [ RSS лента для подписки на новости]Смотрите также:









.jpg)



.png)