Вторая часть статьи "Об удельном сопротивлении грунта без усложнений и предвзятостей".
Читайте предыдущую часть "1. Основа методического подхода".
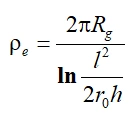
Для компьютерного расчета сопротивления заземления необходимо знать удельное сопротивление грунта на пути распространения тока. Это заставляет выполнить достаточно сложные измерения, поскольку ток реально значимой плотности распространяется не только в поверхностном слое, но проникает в глубину грунта на расстояние, близкое к максимальному габаритному размеру исследуемого устройства. Оно нередко оценивается в сотни метров. Сканирование грунта на такую глубину само по себе представляет достаточно серьезную задачу. Ее строгое экспериментальное решение представляется целесообразным далеко не всегда. В процессе поискового этапа достаточно выполнить хотя бы приближенную оценку. Выяснилось, что она не представляет особо большой проблемы.

Используя полученное таким образом значение эффективного удельного сопротивления заземления

можно приступать к приближенной оценке сопротивления заземления планируемого заземляющего устройства.
Оценка не приведет к большой погрешности, если при измерениях эффективного удельного сопротивления ρe длина пробной шины была принята равной максимальному габаритному размеру анализируемого заземляющего устройства.
Читайте далее "3. Последующие действия"
Э. М. Базелян, д.т.н., профессор
признанный отечественный Эксперт в области заземления и молниезащиты
Смотрите также:

