.jpg)
Для расчета сопротивления заземляющего устройства инженеры-проектировщики обращаются к справочникам, в которых приведены формулы расчета сопротивления растеканию тока заземлителей разного типа. Несправедливо сложилось мнение, что тот или иной источник содержит “правильный” или “неправильный” вариант формулы расчета сопротивления заземления, что формулы имеют не только разный вид, но и дадут разные результаты. Проектировщики, как правило, склоняются к использованию, определенного справочного материала, привыкают к нему, в связи с этим стоят “горой” именно за их излюбленный вариант формулы. Целью данной статьи является опровержение такого ошибочного предпочтения, мы докажем, что любые формулы для определенного типа заземлителя эквивалентны и дадут одинаковый результат.
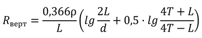
Сопротивление растеканию тока вертикального заземлителя
Для вертикального заземлителя в “Справочнике по проектированию электрических сетей и электрооборудования” Барыбина, таблица 7.9, используется вариант формулы с десятичным логарифмом:

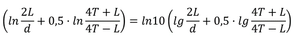
В РД 34.35.514-85 “Инструкция по эксплуатации средств защиты от перенапряжений” в таблице П15.4 приведена формула, но уже с натуральным логарифмом:

Также данная формула приводится в справочнике Карякина «Заземляющие устройства электроустановок», таблица 3.8, строка 6, справочнике Манькова “Защитное заземление и защитное зануление электроустановок”, таблица 7.21, справочнике Басманова “Заземление и молниезащита”, таблица 4.1, справочнике Долина “Основы техники безопасности в электроустановках”, таблица 3.1.
В математике известно равенство: ln(X)=In10*lg(X), следовательно, величину ln10 можно вынести за скобку из формулы РД 153-34.3-35.125-99, после чего в скобках вместо натуральных логарифмов ln остаются десятичные lg, что делает выражение в скобках одинаковым со справочником Барыбина:

Вынесенный за скобки ln10 равен 2,3, а после деления 2,3 на 2π получается 0,366 – величина, которая присутствует в формуле справочника Барыбина. Выражения за скобками тоже оказываются одинаковыми. В результате формула из РД 153-34.3-35.125-99 приобретает вид формулы из справочника Барыбина:

Из доказательства понятно, что формулы идентичные, просто отличается форма их начальной записи, поэтому результат расчета получится одинаковым.
Сопротивление растеканию тока горизонтального заземлителя
В справочнике Барыбина для расчета сопротивления растеканию горизонтального заземлителя приводится формула с десятичным логарифмом:

Для горизонтального заземлителя В РД 34.35.514-85 “Инструкция по эксплуатации средств защиты от перенапряжений” в таблице П15.4 приведена формула с натуральным логарифмом.

Повторим для горизонтального заземлителя те же действия, что были проделаны для вертикального заземлителя. Из формулы РД 34.35.514-85, следуя правилу ln(X)=In(10)*lg(X), вынесем за скобки натуральный логарифм 10:

ln10 равняется 2,3 и, разделив 2,3 на 2π, получим 0,366. Опять выражения перед логарифмом и под ним получаются абсолютно одинаковыми:

Можно сделать вывод, что изначальные формулы эквиваленты, выбор для расчета любой из них не повлияет на результат.
Заключение
Как мы убедились, разные источники, хотя и содержат альтернативные виды формул, на конечный результат расчета сопротивления заземления не влияют. Было доказано, что после элементарных математических преобразований формулы обретают одинаковый вид.
Технический центр ZANDZ использует для расчетов вертикальных и горизонтальных заземлителей более распространенный вид уравнения с натуральным логарифмом ln, но не отрицает и правильность выполнения расчета по варианту с десятичным логарифмом lg, проектировщик волен отдавать предпочтение любому виду формулы.
Смотрите также:

