Нефтегазовый сектор — один из ключевых направлений, с которыми работает Технический центр ZANDZ. Публикуем пример проекта молниезащиты и заземления резервуарного парка с расчётами и техническими решениями

*Изображение сгенерировано нейросетью
Исходные данные для разработки проекта в части молниезащиты и заземления:
- объект: резервуарный парк;
- расположение объекта: Краснодарский край;
- высота объектов: 5 м, 7,5 м, 13 м;
- удельное электрическое сопротивление грунта: 250 Ом*м.
Общие данные
Технические решения принятые в проектной документации соответствуют требованиям экологических, санитарно-гигиенических, противопожарных и других норм действующих на территории Российской Федерации и обеспечивают безопасную для жизни и здоровья людей эксплуатацию объекта, при соблюдении предусмотренных проектными чертежами мероприятий. Проектная документация соответствует требованиям действующих нормативных документов.
В данном разделе рассмотрено решение по внешней системе молниезащиты и заземления резервуарного парка, расположенного в Краснодарском крае.
Резервуарный парк относится к "специальным, представляющим опасность для непосредственного окружения" с точки зрения "ИНСТРУКЦИИ ПО УСТРОЙСТВУ МОЛНИЕЗАЩИТЫ ЗДАНИЙ, СООРУЖЕНИЙ И ПРОМЫШЛЕННЫХ КОММУНИКАЦИЙ" СО 153-34.21.122-2003 и к "II категории" в соответствии с "ИНСТРУКЦИЕЙ ПО УСТРОЙСТВУ МОЛНИЕЗАЩИТЫ ЗДАНИЙ И СООРУЖЕНИЙ" РД 34.21.122-87.
Молниезащита фабрики выполнена в соответствии с СО 153-34.21.122-2003, при помощи двойного тросового молниеотвода с высотой подвеса троса 25,5 м.
Согласно ПУЭ-7 изд., п.1.7.103, сопротивление заземляющего устройства должно быть не более 10 Ом.
Сопротивление заземляющего устройства системы молниезащиты, согласно ГОСТ Р 59789-2021, п.5.4.1, не должно превышать 10 Ом.
Заземляющее устройство для защитного заземления и системы молниезащиты выполняется как правило общим в соответствии с ПУЭ-7 изд., 1.7.55.
Материалы и сечения всех проводников, принятых в данном проекте, соответствуют ГОСТ Р 50571.5.54-2024.
Расчёт зоны защиты
h = 25,5;
Высота конуса согласно СО табл. 3.5:
h0 = 0,8·h = 20,4 м;
Радиус конуса согласно СО табл. 3.5:
r0 = 0,95·h = 24,225 м;
Расстояние между тросами:
L = 76 м;
Предельное расстояние между молниеприемниками, согласно СО, табл.3.6:
Lmax = 5·h = 127,5 м;
L0 = 2,5·h = 63,75 м;
Условие двойного тросового молниеотвода соблюдается.
Для зоны защиты требуемой надежности радиус rx на высоте hх = 13 м определяется:

Для зоны защиты требуемой надежности радиус rx на высоте hх = 7,5 м определяется:

Для зоны защиты требуемой надежности радиус rx на высоте hх = 5 м определяется:

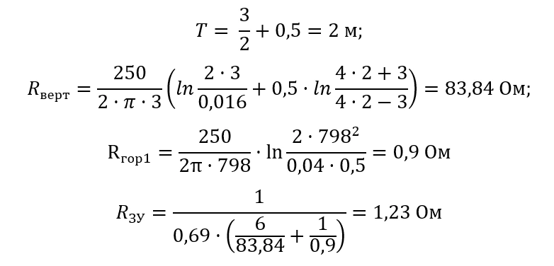
Расчёт сопротивления заземляющего устройства
Сопротивление вертикального электрода:

где ρэкв – эквивалентное удельное сопротивление грунта, Ом·м;
L – длина вертикального электрода, м;
d – диаметр вертикального электрода, м;
T– заглубление - расстояние от поверхности земли до заземлителя, м;
Сопротивление горизонтального электрода:

где ρ – удельное сопротивление грунта, Ом·м;
b - ширина горизонтального электрода, м;
h - глубина заложения горизонтального проводника, м;
Lгор – длина горизонтального электрода, м.

где t – заглубление верха электрода, м
Полное сопротивление заземляющего устройства:

где n – количество комплектов;
kисп – коэффициент использования;

Расчетное сопротивление заземляющего устройства составляет 1,23 Ом, что соответствует п.1.7.103, ГОСТ Р 59789-2021, п.5.4.1 и меньше требуемого сопротивления 10 Ом.
Перечень необходимых материалов
Приложение: проект в форматах DWG и PDF

Вам требуется выполнить проект по заземлению и молниезащите? Закажите его, обратившись в Технический центр ZANDZ.com!
Остались вопросы по данному расчету? Задайте его в комментарии к этой странице!
Смотрите также:

