МИНИСТЕРСТВО ЭНЕРГЕТИКИ И ЭЛЕКТРИФИКАЦИИ CCCР
УТВЕРЖДАЮ:
Заместитель начальника
Главтехуправления
Ф. СИНЬЧУГОВ 4 октября 1972 г.
РД 34.21.121
ОГЛАВЛЕНИЕ
1. ОБЩИЕ СВЕДЕНИЯ
2. ЗОНЫ ЗАЩИТЫ СТЕРЖНЕВЫХ МОЛНИЕОТВОДОВ
2.1. ЗОНА ЗАЩИТЫ ОДИНОЧНОГО СТЕРЖНЕВОГО МОЛНИЕОТВОДА
2.2. ОЧЕРТАНИЯ ЗОНЫ ЗАЩИТЫ ДВУХ СТЕРЖНЕВЫХ МОЛНИЕОТВОДОВ
2.3. ЗОНА ЗАЩИТЫ ТРЕХ И БОЛЕЕ МОЛНИЕОТВОДОВ
3. ЗОНЫ ЗАЩИТЫ ТРОСОВЫХ МОЛНИЕОТВОДОВ
3.1. ЗОНА ЗАЩИТЫ ОДИНОЧНОГО ТРОСОВОГО МОЛНИЕОТВОДА
3.2. ЗОНЫ ЗАЩИТЫ ДВУХ ПАРАЛЛЕЛЬНЫХ ТРОСОВЫХ МОЛНИЕОТВОДОВ
4. ЗОНЫ ЗАЩИТЫ ДВУХ МОЛНИЕОТВОДОВ РАЗЛИЧНОЙ ВЫСОТЫ
5. РЕКОМЕНДАЦИИ ПО ВЫБОРУ МОЛНИЕОТВОДОВ
1. ОБЩИЕ СВЕДЕНИЯ
Защитное действие молниеотводов основано на свойстве молнии с большей вероятностью поражать более высокие и хорошо заземленные металлические предметы по сравнению с рядом стоящими менее высокими. Молниеотвод, принимающий на себя разряд молнии, представляет собой возвышающееся над защищаемым сооружением металлическое устройство, состоящее из молниеприемника, токоотвода и заземлителя. Для защиты электротехнических установок от прямых разрядов молнии рекомендуется применять стержневые и тросовые молниеотводы. Стержневые молниеотводы выполняются в виде вертикальных металлических конструкций, установленных самостоятельно или на каких-либо сооружениях (например порталах, дымовых трубах), а тросовые - в виде горизонтально подвешенных проводов (тросов).
Степень защищенности сооружения молниеотводом определяется вероятностью прорыва молнии к защищаемому сооружению минуя молниеотвод. Вероятность прорыва молнии равна отношению числа разрядов молнии в защищаемое сооружение к общему числу разрядов молнии в молниеотвод и защищаемое сооружение.
Расчет молниезащиты ведется по зонам защиты. Вероятность прорыва молнии к любому объекту, расположенному внутри зоны защиты, не должна превышать допускаемой величины.
Очертания и размеры зоны защиты определяются числом, высотой и взаимным расположением молниеотводов и зависят от допускаемой вероятности прорыва молнии. Зона защиты тем меньше, чем меньшую вероятность прорыва молнии требуется обеспечить. Пространство между молниеотводами защищено более надежно, чем с внешней стороны молниеотводов. Защитное действие молниеотводов снижается с увеличением высоты защищаемого объекта.
Зоны защиты стержневых молниеотводов высотой до 60 м проверены многолетним опытом эксплуатации и обеспечивают достаточную надежность. Зоны защиты стержневых молниеотводов высотой более 60 м по методике настоящих Руководящих указаний определяются с расчетной вероятностью прорыва молний в объект не более 10-2, а тросовых молниеотводов - не более 10-2 и 10-3. Указанная расчетная вероятность прорыва молнии установлена на основе лабораторных испытаний на модели, опыта эксплуатации и сведений о развитии разрядов молнии.
2. ЗОНЫ ЗАЩИТЫ СТЕРЖНЕВЫХ МОЛНИЕОТВОДОВ
2.1. Зона защиты одиночного стержневого молниеотвода
Зона защиты одиночного стержневого молниеотвода высотой до 60 м имеет форму, показанную на рис. 1, размеры зоны определяются соотношением
(1)где rx - радиус защиты на высоте hx;
ha - превышение молниеотвода над уровнем высотою hx.
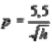
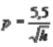
p = 1 при h ≤ 30 м;
при h > 30 м.
Рис. 1. Зона защиты одиночного стержневого молниеотвода высотой до 60 м
h - высота молниеотвода; hx - высота точки на границе защищаемой зоны; ha = h - hx - активная высота молниеотвода
Зона защиты одиночного стержневого молниеотвода высотой h от 60 до 250 м усечена на расстоянии Δh от вершины (рис. 2) и определяется соотношениями:
(2)Δh = 0,5(h - 60) при 60 < h ≤ 100 м; (3)
Δh = 0,2 · h при 100 < h ≤ 250 м. (4)
Рис. 2. Зона защиты одиночного стержневого молниеотвода высотой более 60 м
Δh = 0,5(h - 60) при 60 < h ≤ 100 м; Δh = 0,2 · h при h > 100 м.
На рис. 3 показаны графики для определения размеров зоны защиты одиночного стержневого молниеотвода высотой до 30 м, рассчитанные по формуле (1), а на рис. 4 и 5 - номограммы для стержневого молниеотвода высотой до 30 и 100 м соответственно. Через точки заданных значений на шкалах hx и rx проводится прямая линия, пересечение которой со шкалой Z = hx/h определяет соответствующее значение отношения hx/h, а следовательно искомую высоту молниеотвода. Если hx = 0, высота молниеотвода определяется по шкале hx точкой пересечения с прямой, проведенной через точку С на шкале Z и через точку с заданным значением на шкале rx.
Рис. 3. Зависимость высоты одиночного стержневого молниеотвода высотой до 30 м от радиуса защиты на различных уровнях hx
Рис. 4. Номограмма для расчета зоны защиты одиночного стержневого молниеотвода высотой до 30 м
Для защищаемых объектов высотой 60 - 100 м высота молниеотвода h, определенная по номограмме рис. 5, сравнивается с критической высотой hкр, определяющей границу усечения зоны защиты,
hкр = 2hx - 60. (5)
Рис. 5. Номограмма для расчета зоны защиты одиночного стержневого молниеотвода высотой до 100 м
Вследствие усечения зон защиты при h меньше hкр высота молниеотвода выбирается равной критической. При высоте молниеотводов h > 100 м построение зоны защиты производится непосредственно по формулам (2), (3) и (4).
2.2. Очертания зоны защиты двух стержневых молниеотводов
Очертания зоны защиты двух стержневых молниеотводов (двойной молниеотвод) показаны на рис. 6 для h ≤ 60 м и рис. 7 для 60 ≤ h ≤ 250 м. Для каждого из молниеотводов высотой более 60 м зона защиты усекается на расстоянии h от вершины, как и для одиночного молниеотвода.
Рис. 6. Зона защиты двух равновысоких стержневых молниеотводов высотой до 60 м.
a - расстояние между молниеотводами; вx - наименьшая ширина зоны защиты на уровне hx; rx - радиус зоны защиты одиночного молниеотвода; R - радиус окружности, проходящей через вершины молниеотводов и точку 0, находящуюся на уровне h0
Рис. 7. Зона защиты двух стержневых молниеотводов высотой более 60 м.
Δh = 0,5(h - 60) при 60 < h ≤ 100 м; Δh = 0,2h при h > 100 м
Построение внешней зоны молниеотводов производится аналогично построению зоны одиночного молниеотвода по формулам (1) или (2) в зависимости от высоты. Наименьшая ширина зоны защиты вх между молниеотводами на уровне hx определяется по кривым рис. 8 и 9. Для молниеотводов высотой от 30 до 250 м значение обеих координат необходимо умножить на коэффициент 
Рис. 8. Значения наименьшей ширины зоны защиты вх двух стержневых молниеотводов высотой h ≤ 30 м для 
Рис. 9. Значение наименьшей ширины зоны защиты вx двух стержневых молниеотводов для 
Наименьшая высота зоны защиты h0 для молниеотводов высотой до 30 м равна
(6)для молниеотводов от 30 до 250 м
(7)но не больше hкр, определяемой по формуле (5), если h ≥ 60 м.
2.3. Зона защиты трех и более молниеотводов
Зона защиты трех и более молниеотводов значительно превышает сумму зон защиты одиночных молниеотводов.
Построение горизонтальных сечений зоны защиты на уровне hx показано на рис. 10 - 12 на примере трех и четырех стержневых молниеотводов. Размеры вх/2 определяются по кривым рис. 8 и 9 в зависимости от a/ha и высоты молниеотвода. Радиус защиты rx определяется так же, как и для одиночного молниеотвода. При произвольном расположении нескольких молниеотводов их зона защиты может быть определена суммированием зон любых трех соседних молниеотводов (рис. 12).
Рис. 10. Зона защиты четырех стержневых молниеотводов одинаковой высоты; горизонтальное сечение зоны защиты на уровне hx
1, 2, 3, 4 - молниеотводы
Рис. 11. Зона защиты трех стержневых молниеотводов одинаковой высоты; горизонтальное сечение зоны защиты на уровне hx
1, 2, 3 - молниеотводы
Рис. 12. Зона защиты четырех стержневых произвольно расположенных молниеотводов одинаковой высоты; горизонтальное сечение зоны защиты на уровне hx
1, 2, 3, 4 - молниеотводы
Часть зоны защиты трех и более молниеотводов высотой выше 60 м, расположенная вне окружностей, проходящих через центры соседних трех молниеотводов, усекается на расстоянии Δh от вершины. Часть зоны, расположенная внутри окружностей, не усекается. Величина Δh определяется по формулам (3) и (4).
Необходимым условием защищенности всей площади на уровне hx является:
для молниеотводов высотой h ≤ 30 м : D ≤ 8 · ha;
для молниеотводов высотой 30 < h ≤ 250 м : D ≤ 8 · ha · p,
где D - диаметр окружности, проведенной через три смежных молниеотвода.
3. ЗОНЫ ЗАЩИТЫ ТРОСОВЫХ МОЛНИЕОТВОДОВ
3.1. Зона защиты одиночного тросового молниеотвода
Зона защиты одиночного тросового молниеотвода (горизонтально подвешенного троса) имеет форму, показанную на рис. 13 для молниеотводов высотой до 30 м и на рис. 14 для молниеотводов высотой от 30 до 250 м. Зона защиты на уровне hx ограничивается двумя параллельными молниеотводу линиями, расположенными на расстоянии rx от вертикальной плоскости, проходящей через тросовый молниеотвод. Это расстояние rx, условно называемое по аналогии с одиночным стержневым молниеотводом радиусом защиты, определяются по формулам:
для одиночного тросового молниеотвода высотой h < 30 м
(8)для одиночного тросового молниеотвода высотой h от 30 до 250 м
(9)где
Рис. 13. Зона защиты одиночного тросового молниеотвода высотой до 30 м:
A - горизонтальное сечение зоны защиты на уровне hx; T - трос
Рис. 14. Зона защиты одиночного тросового молниеотвода высотой более 30 м
Зона защиты тросового молниеотвода высотой 30 < h < 250 м усекается сверху на величину
(10)Величины K1 и K2 зависят от допускаемой вероятности прорыва молнии в зону защиты. Для защиты с вероятностью прорыва молнии не более 10-2 K1 = 1,2; K2 = 1, а с вероятностью прорыва не более 10-3 K1 = 0,6; K2 = 1,3.
На рис. 15 и 16 даны номограммы для зоны защиты тросового молниеотвода при K1 = 1,2 (вероятность прорыва молнии не более 10-2).
Рис. 15. Номограмма для расчета зоны защиты одиночного тросового молниеотвода высотой до 30 м
Рис. 16. Номограмма для расчета зоны защиты одиночного тросового молниеотвода высотой от 30 до 100 м
По номограмме рис. 15 определяется зона защиты тросового молниеотвода высотой до 30 м.
По номограмме рис. 16 определяется зона защиты троса высотой от 30 до 100 м. При большей высоте построение зоны защиты проводится согласно формулам (9) и (10).
Высота молниеотвода h, определенная по номограмме (рис. 16), сравнивается с критической высотой

при h < hкр высота молниеотвода выбирается равной hкр. Методика выбора тросовой защиты исходит из зависимости вероятности прорыва молнии от угла защиты троса и высоты опор ВЛ. Соответствие между изложенной здесь и в разделе грозозащиты ВЛ методикой устанавливается соотношением tg α = rx/ha.
3.2. зоны защиты двух параллельных тросовых молниеотводов
Построение зоны защиты двух параллельных тросовых молниеотводов представлено на рис. 17 и 18. Внешние области зоны защиты определяются как для одиночного тросового молниеотвода при h > 30 м и усекаются на расстоянии Dh от вершины. Вертикальное сечение зоны защиты между двумя тросовыми молниеотводами ограничивается дугой окружности, проходящей через молниеотводы и среднюю точку между молниеотводами O, находящуюся на высоте
(11)где α - расстояние между молниеотводами;
Рис. 17. Зона защиты двух тросовых молниеотводов 1 и 2 высотой до 30 м
I - горизонтальное сечение на уровне hx; II - вертикальное сечение зоны защиты
Рис. 18. Зона защиты двух тросовых молниеотводов высотой более 30 м
P = 1 при h ≤ 30 м.
при 30 < h < 250 м.
Величина K3 зависит от вероятности прорыва молнии в зону защиты. Для зоны с вероятностью прорыва не более 10-2 K3 = 5; для зоны с вероятностью прорыва не более 10-3 K3 = 3.
Для защиты объекта между двумя тросами необходимо соблюсти условие ha = h - hx ≥
определяющее превышение молниеотвода над защищаемым сооружением.
4. ЗОНЫ ЗАЩИТЫ ДВУХ МОЛНИЕОТВОДОВ РАЗЛИЧНОЙ ВЫСОТЫ
Построение зоны защиты двух молниеотводов различной высоты приведено на рис. 19. Вокруг молниеотвода 1 большей высоты строится зона защиты, как для одиночного молниеотвода. Далее через вершину молниеотвода 2 меньшей высоты проводится горизонтальная линия до пересечения с зоной защиты молниеотвода 1. Принимая эту точку пересечения за вершину некоторого фиктивного молниеотвода 3 той же высоты, что и меньший молниеотвод, строится зона защиты для двух молниеотводов 2 и 3, очертания которой ограничивают внутренний участок суммарной зоны защиты.
Рис. 19. Зона защиты двух молниеотводов разной высоты:
1, 2 - молниеотводы; 3 - вершина фиктивного молниеотвода
Для стержневых молниеотводов высотой h > 60 м и тросовых h > 30 м зона защиты у их вершины усекается на расстоянии Δh от вершины конкретно для каждого из молниеотводов и в соответствии с их типом.
Суммарная зона защиты тросового и стержневого молниеотводов определяется наложением их зон. Так же строится конфигурация зоны защиты у конца тросового молниеотвода. При этом конец троса следует рассматривать как стержневой молниеотвод соответствующей высоты.
5. РЕКОМЕНДАЦИИ ПО ВЫБОРУ МОЛНИЕОТВОДОВ
Зоны защиты с вероятностью прорыва не более 10-2 предназначены для открытых распределительных устройств станций и подстанций, а также для подсобных сооружений, нуждающихся в молниезащите. При этом вводы аппаратов и шинопроводы должны находиться по возможности в глубине зоны защиты, так как поражение их молнией представляет наибольшую опасность.
Зоны защиты с вероятностью прорыва не более 10-3 предназначены для участков шинопроводов высокой ответственности, которые вследствие их большой высоты или длины могут подвергаться частым ударам молнии.
Надежность защиты повышается при размещении объектов во внутренней части зоны защиты многократных молниеотводов.
Стержневые молниеотводы рекомендуется применять для защиты одиночных сооружений или групп сооружений небольшой протяженности, а тросовые молниеотводы - для протяженных сооружений.
Вследствие вероятностного характера прорывов молнии выполнение молниезащиты, полностью исключающей поражение защищаемых объектов, не всегда целесообразно, а в ряде случаев технически не осуществимо. Оптимальная надежность молниезащиты определяется на основе сопоставления стоимости молниезащиты и возможного ущерба от поражения молнией.
лниезащиты и возможного ущерба от поражения молнией. Надежность молниезащиты характеризуется числом b прорывов молнии в год на защищаемое сооружение или числом
лет, за которое ожидается один прорыв молнии в зону защиты
где ψ - вероятность прорыва в зону защиты (10-2 или 10-3 соответственно зоне); N - суммарное число ударов в год в молниеотвод и защищаемое сооружение.
Ожидаемое число ударов молнии и год в одиночное возвышающееся сооружение (в том числе стержневой молниеотвод) высотой h метров:
где n = 0,06 - число ударов молнии в землю площадью 1 км2 на 1 ч грозы,
;T - средняя интенсивность грозовой деятельности для данной местности, ч.
R = 3,5 · h - эквивалентный радиус окружности, описывающей площадь, с которой сооружение «собирает» молнии, м.
Число ударов молнии в год в группу возвышающихся сооружений ( в том числе группу стержневых молниеотводов):
где S - площадь, ограниченная дугами окружностей, описанных радиусом R вокруг каждого молниеотвода, м2.
Число ударов в год в протяженное возвышающееся сооружение ( в том числе тросовый молниеотвод) высотой h и длиной l, (м):
где R = 3,5h.
Число ударов в сооружение длиной l (м), шириной m (м) и высотой h (м) определяется по формуле (13), где
Смотрите также:

