08.07.16
В технический центр ZANDZ регулярно поступают запросы на расчет интересных и специфичных объектов. Среди них встречаются настолько примечательные, что мы не можем с вами ими не поделиться. Таким объектом стала тепловизионная веб-камера, расположенная на вершине горы Эльбрус.
Вид на гору Эльбрус (изображение взято с сайта www.wikipedia.org)
Всем известно, что именно вершины гор наиболее часто подвергаются ударам молнии. Поэтому, размещая камеру в таких условиях, нужно сразу предусмотреть серьезные меры по молниезащите и заземлению. Так, проектом была предложена нестандартная принимающая молнию конструкция, которая должна исключить попадание прямого удара непосредственно в оборудование и направить молнию в землю. При крайне близком пути тока молнии до оборудования и электрических цепей очевидно воздействие перенапряжений, защититься от которых можно только с помощью УЗИП и экранирования кабелей. Поэтому были предложены устройства защиты от перенапряжений, которые должны быть установлены внутри термобокса во всех электрических цепях и цепях передачи данных, соединяющих между собой камеры, солнечные панели, инжектор, контроллер и передающее устройство.
Функционирование систем внешней и внутренней молниезащиты невозможно без заземляющего устройства. В условиях скального грунта следует применять электролитическое заземление. Оно послужит хорошим защитным и функциональным заземлением, которое обеспечит работу камер без помех.
Все предложенные решения по молниезащите и заземлению WEB-камеры рассмотрены ниже.
Объектом установки заземления является тепловизионная веб-камера на вершине горы Эльбрус.
Мероприятия выполнены в соответствии с ПУЭ 7-е изд. Глава 1.7.
Грунт в месте расположения объекта – каменистый с рыхлыми породами и льдом, расчетное удельное сопротивление принимается равным 2000 Ом∙м.
В соответствии с ПУЭ 7 изд. п. 1.7.103 общее сопротивление растеканию заземлителей (в том числе естественных) всех повторных заземлений PEN-проводника каждой ВЛ в любое время года должно быть не более 10 Ом соответственно при линейных напряжениях 380 В источника трехфазного тока или 220 В источника однофазного тока.
В соответствии с ПУЭ 7 изд. п.1.7.103 при удельном сопротивлении грунта ρ>100 Ом∙м допускается увеличить указанные нормы в 0,01ρ раз, но не более десятикратного.
Комплекс мероприятий по обеспечению необходимых требований к заземляющему устройству представлен следующими решениями:
1. Для обеспечения нормируемого сопротивления ЗУ предлагается к применению электролитическое заземление ZANDZ ZZ-100-102, специально предназначенное для применения в каменистых и вечномерзлых грунтах.
2. Выполняется установка одного комплекта электролитического заземления ZANDZ ZZ‑100‑102.
3. До площадки с камерой прокладывается горизонтальный заземлитель из коррозионностойкой полосы стальной омедненной сечением 4х30 мм длиной 4-10 м.
4. В связи с образованием зоны талика в виде овала размером 3x6 метров, электроды необходимо разместить на соответствующем расстоянии от фундаментов зданий и других инженерных конструкций.


Рисунок 1 – Эскиз расположения элементов молниезащиты и заземляющего устройства
Расчет сопротивления заземляющего устройства:
Горизонтальный заземлитель в расчете не участвует, учитывается только комплект электролитического заземления.
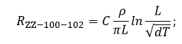
Сопротивление комплекта ZZ-100-102:

где C – безразмерный коэффициент, описывающий содержание электролита в окружающем грунте;
ρ – удельное сопротивление грунта, Ом·м;
L – длина заземлителя, м;
d – диаметр заземлителя, м;
T – заглубление - расстояние от поверхности земли до заземлителя, м.
Полное сопротивление заземляющего устройства:

где n – количество комплектов;
kисп гр – коэффициент использования;

Расчетное сопротивление заземляющего устройства составляет 84,14 Ом, что меньше требуемого сопротивления 100 Ом, полученного путем увеличения нормы 10 Ом в 10 раз.
Комплекс мероприятий по организации системы молниезащиты представлен следующими решениями:
1. Необходимо установить конструкцию-молниеприемник, которая изображена на рисунке 1.
2. Необходимо экранирование кабелей. При передаче питания и данных по витой паре следует использовать кабели типов SSTP, SFTP, STP PiMF.
Защита от перенапряжений:
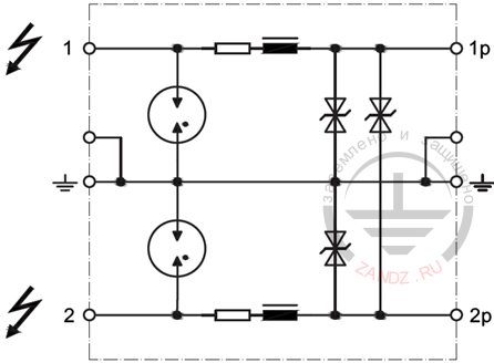
1. Для защиты линии от фотоэлектрических панелей используется УЗИП для цепи постоянного тока напряжением 80 В LE-278-080 DataPro2x1-80V/80V.
2. Для защиты линии питания передатчика напряжением 24 В используется УЗИП LE-272-424 DataPro2x1-24V/24V.

Рисунок 2 – Электронная схема DataPro2x1-80V/80V и DataPro2x1-24V/24V
3. Для защиты камеры используется УЗИП LE-240-021 DataPro RJ45 PoE Alu, устанавливаемый вразрез экранированного кабеля витой пары.

Рисунок 3 – Электронная схема DataPro RJ45 PoE Alu
4. Для защиты линии передачи данных, идущей к передатчику, используется сменный блок УЗИП LE-970-041 MP 2x2 GDT +24V-Ad-Ad-Pg ST, если частота сигнала до 6 МГц, либо УЗИП для высокочастотных линий LE-971-051 MP 2x2 24V-HF ST, если частота сигнала до 70 МГц. Для сменного блока используется базовая часть LE-970-001 MP Base 2x2-R GDT.

Рисунок 4 – Электронная схема MP 2x2 GDT +24V-Ad-Ad-Pg ST

Рисунок 5 – Электронная схема MP 2x2 24V-HF ST
Важно! Все УЗИП следует установить сразу на входе в термобокс, длина кабелей не должна превышать 0,5 м и должна быть минимальной.
Термобокс должен быть экранированным, например, с помощью фольги.
Перечень необходимых материалов приведен в таблице 1.
Таблица 1 – Перечень потребности материалов
|
№ п/п |
Рис. |
Артикул |
Изделие |
Количество |
|
1. |
|
ZZ-100-102 |
ZANDZ Комплект электролитического заземления (горизонтальный; 3 метра) |
1 |
|
2. |
|
GL-11075-20 |
GALMAR Полоса омеднённая (30*4 мм / S 120 мм²; бухта 20 метров) |
1 |
|
3. |
|
ZZ-005-064 |
2 |
|
|
4. |
|
ZZ-007-030 |
1 |
|
|
5. |
|
LE- 278-080 |
LEUTRON ограничитель перенапряжений (УЗИП) DataPro2x1-80V/80V |
1 |
|
6. |
|
LE-272-424 |
LEUTRON ограничитель перенапряжений (УЗИП) DataPro2x1-24V/24V |
1 |
|
7. |
|
LE-240-021 |
LEUTRON ограничитель перенапряжений (УЗИП) DataPro RJ45 PoE Alu |
1 |
|
8. |
|
LE-970-041 |
LEUTRON ограничитель перенапряжений (УЗИП) MP 2x2 GDT +24V-Ad-Ad-Pg ST |
1 |
|
9. |
|
LE-970-001 |
1 |
Установка камеры позволит наблюдать замечательные панорамные виды вершины Эльбруса и Кавказского хребта. Это не было бы возможным без современных технологий. Но любые, даже самые продвинутые устройства, требуют качественного заземления и надлежащей молниезащиты. С Центром знаний ZANDZ.com это не проблема, мы всегда рады предложить свою помощь в расчете, подборе и установке систем молниезащиты и заземления!
[ Код новостного блока для вставки на Ваш сайт ] [ RSS лента для подписки на новости ]
Смотрите также:










