Сигнал спутниковой связи достаточно хорошо защищён от помех, но тем не менее удар молнии в наземное оборудование может вывести его из строя. Одними из главных мер по повышению качества и надёжности связи будут заземление и молниезащита спутниковой антенны.
Технический центр ZANDZ предусмотрел для заземления спутниковой антенны электролитические заземлители, которые хорошо подходят для использования в вечномёрзлых грунтах Якутии.
В качестве молниеприемника используется стойка на радиопрозрачном куполе, от которой проложен бронированный кабель к заземлителю. Решение по молниезащите спутниковой антенны предусмотрено проектировщиком конструкции антенного поста.
Узнайте подробности из текста новости.
Задача
Произвести расчёт заземления спутниковой антенны в Якутии.
Решение
Решения по заземлению спутниковой антенны выполнены в соответствии с «Правилами устройства электроустановок» ПУЭ 7-е изд.
Описание системы заземления спутниковой антенны
Комплекс мероприятий по обеспечению необходимых требований к заземляющему устройству представлен следующими решениями:
- Для обеспечения нормируемого сопротивления заземляющего устройства предлагается к применению электролитическое заземление ZANDZ ZZ-100-102, специально предназначенное для применения в каменистых и вечномёрзлых грунтах.
- Выполняется установка 4 комплектов электролитического заземления ZANDZ ZZ‑100‑102. Комплекты устанавливаются на расстоянии 6 метров при параллельной установке для приемлемого коэффициента использования и оптимального объема распределения электролита в грунте.
- Комплекты электролитического заземления объединяются горизонтальным электродом из коррозионностойкой полосы стальной омедненной сечением 4х30 мм, глубина заложения 0,5 м;
- В связи с образованием зоны талика в виде овала размером 3x6 метров, электроды необходимо разместить на соответствующем расстоянии от фундаментов зданий и других инженерных конструкций.
Рисунок 1. План заземления спутниковой антенны
Расчёт сопротивления заземляющего устройства
Расчётное удельное сопротивление грунта принимается равным 1000 Ом∙м.
Предупреждение. В случае ошибочности и ограниченности предоставленных заказчиком данных о грунте приведённый расчёт заземляющего устройства считается неверным. В случае отличия удельного сопротивления грунта от расчётного необходимо выполнить расчёт с действительным значением. При превышении нормируемого сопротивления заземляющего устройства необходимо внести изменения в конструкцию.
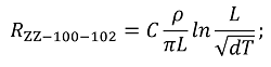
Сопротивление комплекта ZZ-100-102:

где C – безразмерный коэффициент, описывающий содержание электролита в окружающем грунте;
ρ – удельное сопротивление грунта, Ом·м;
L – длина заземлителя, м;
d – диаметр заземлителя, м;
T – заглубление - расстояние от поверхности земли до заземлителя, м.
Сопротивление горизонтального электрода:

где ρ – удельное сопротивление грунта, Ом·м;
b – ширина полосы горизонтального электрода, м;
h – глубина заложения горизонтальной сетки, м;
Lгор – длина горизонтального электрода, м.
Полное сопротивление заземляющего устройства:

где n – количество комплектов;
kисп – коэффициент использования.

Расчётное сопротивление заземляющего устройства составляет 8,74 Ом.
Комплектующие для заземления спутниковой антенны
| № | Артикул | Наименование | Количество, шт. |
| Заземляющее устройство | |||
| 1. | ZZ-100-102 | ZANDZ Комплект электролитического заземления (горизонтальный; 3 метра) | 4 |
| 2. | GL-11075-50 | GALMAR Полоса омеднённая (30*4 мм / S 120 мм²; бухта 50 метров) | 1 |
| 3. | ZZ-005-064 | ZANDZ Зажим для подключения проводника(до 40 мм) | 12 |
| 4. | ZZ-007-030 | ZANDZ Лента гидроизоляционная | 3 |
У вас возникли вопросы по заземлению спутниковой антенны? Обращайтесь в Технический Центр ZANDZ!
Смотрите также:



