Приложение № 3 к "Экономическое обоснование применения модульного заземления ZANDZ".
Мероприятия выполнены в соответствии с ПУЭ 7-е изд. Глава 1.7.
Объектом установки защитного заземления является комплектная трансформаторная подстанция (КТП) напряжением 10/0,4 кВ. В соответствии с данными заказчика, грунт в предполагаемом месте установки заземляющего устройства суглинок. Расчётное удельное сопротивление грунта принимается равным 100 Ом∙м.
В соответствии с ПУЭ п.1.7.96, 1.7.97 и 1.7.104 для электроустановок напряжением выше 1 кВ в сетях с изолированной нейтралью (35-10 кВ) сопротивление ЗУ не должно превышать 4 Ом.
В соответствии с ПУЭ п. 1.7.101 сопротивление заземляющего устройства, к которому присоединены нейтрали генератора или трансформатора или выводы источника однофазного тока, в любое время года должно быть не более 4 Ом при линейном напряжении 380 В источника трёхфазного тока.
Комплекс мероприятий по обеспечению необходимых требований к заземляющему устройству представлен следующими решениями:
- установка двух вертикальных электродов длиной 10,5 м и одного вертикального электрода длиной 9 м из стальных омедненных стержней диаметром 14 мм, объединенных горизонтальным заземлителем из коррозионностойкой полосы стальной омедненной сечением 4х30 мм, проложенным вокруг КТП. Глубина заложения полосы 0,5 м;
- до стены КТП прокладывается горизонтальный заземлитель длиной 1 м (полоса омедненная сечением 4х30 мм).
Расположение элементов заземляющего устройства показано на рисунке 1.

Рисунок 1 — Схема расположения элементов заземляющего устройства
Расчёт сопротивления заземляющего устройства:
Сопротивление горизонтального электрода:

- p — удельное сопротивление грунта, Ом·м;
- b — ширина полосы горизонтального электрода, м;
- h — глубина заложения горизонтальной сетки, м;
- Lгор — длина горизонтального электрода, м.
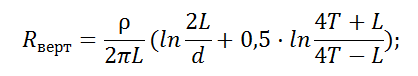
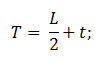
Сопротивление вертикального электрода:

ρ – удельное сопротивление грунта, Ом·м;
L – длина вертикального электрода, м;
d – диаметр вертикального электрода, м;
T– заглубление - расстояние от поверхности земли до заземлителя, м;

t – заглубление верха электрода, м
Полное сопротивление заземляющего устройства:

n – количество комплектов; kисп – коэффициент использования;

Расчётное сопротивление заземляющего устройства составляет 3,9 Ом.
Перечень необходимых материалов:
| № | Рис. | Артикул | Изделие | Коли-чество |
| 1. | ![]() |
ZZ-000-130 | ZANDZ НЕРЖ Комплект заземления из нержавеющей стали универсальный (30 метров) | 1 |
| 2. | ![]() |
GL-11075-20 | GALMAR Полоса омеднённая (30*4 мм / S 120 мм²; бухта 20 метров) | 1 |
| 3. | ![]() |
GL-11075-10 | GALMAR Полоса омеднённая (30*4 мм / S 120 мм²; бухта 10 метров) | 1 |
Смотрите далее - Приложение № 6. Локальный сметный расчёт № 032 (применение модульного заземления ZANDZ из вертикальных стержней из нержавеющей стали диаметром 16 мм и длиной 1,5 м.).
Вам требуется выполнить проект по заземлению и молниезащите? Закажите его, обратившись в Технический центр ZANDZ.com!
Смотрите также:
- Полезные материалы для проектировщиков: статьи, рекомендации, примеры
- Бесплатные обучающие вебинары с ведущими экспертами
- Проектирование заземления и молниезащиты (проекты в DWG и PDF)
- Формулы для расчёта заземляющего устройства
- Примеры решений по заземлению и молниезащите для крупных объектов
Смотрите также:



