
Открыть схему в полном размере
Задание:
Объект: здание завода по производству древесного угля. Размеры здания: 30х40х10 м (ДхШхВ), площадь: 1200 м2. Площадь территории, на которой находится объект: 2800 м2.
Материал фасада: кирпич.
Материал крыши: крыша плоская, бетонная стяжка, степень огнестойкости здания – II.
На крыше находятся 2 кирпичные трубы высотой по 10 м.
Здание является самым высоким объектом в радиусе 100 м.
Для производства используется дорогостоящее электрооборудование. В здании имеются зоны класса П-II в соответствии с ПУЭ – зоны, расположенные в помещениях, где выделяются горючие пыль или волокна с нижним концентрационным пределом воспламенения более 65 г/м3 к объему воздуха.
Грунт: супесь, удельное сопротивление 200 Ом/м.
Решение:
Здание завода по производству древесного угля в соответствии с РД 34.21.122-87 относится к III категории молниезащиты и Здания и сооружения, отнесенные по устройству молниезащиты к III категории, должны быть защищены от прямых ударов молнии и заноса высокого потенциала через наземные (надземные) металлические коммуникации.
Ожидаемое количество поражений объекта молнией за год определяется по формуле:
N=[(S+6hоб)(L+6hоб)-7,7>hоб]·n·10-6,
где:
hоб – наибольшая высота объекта;
L – длина объекта;
S – ширина объекта;
n – плотность ударов молнии на 1 км2 земной поверхности в год;
h = 6,7·Tгр/100;
где Tгр – средняя продолжительность гроз в часах.
Для Московской области средняя продолжительность гроз составляет 20-40 часов.
Следовательно:
N = [(S+6hоб)*(L+6hоб) – 7,7*hоб]*n*10-6 ≈ 0,04184. Ожидаемое количество поражений молнией объекта в год составляет 0,04184 поражений в год. Выбирается зона защиты Б в соответствии с пунктом 4 таблицы 1 РД 34.21.122-87.
Заземляющее устройство молниезащиты производственного корпуса состоит из четырех вертикальных электродов (омедненных резьбовых штырей D14, 1.5 м ZZ-001-065 – 2 шт. на 1 электрод) по углам здания в местах опуска токоотводов и контура из омеднённой полосы 30х4 GL-11075 по периметру здания на расстоянии 1 м от фундамента. Полоса соединяется с электродами при помощи зажимов для подключения проводника ZZ-005-064 в соответствии с ГОСТ 21130-75.
Защита от вторичных проявлений молнии и заноса высокого потенциала осуществляется путем присоединения металлических труб коммуникаций, брони кабелей на вводе в здание к контуру заземления.
Защита объекта от прямых ударов молнии выполняется при помощи двух молниеприемников GL-21104G h=4,7 м, расположенных на дымовых трубах здания. В соответствии с п.2.11 РД 34.21.122-87 при установке молниеотводов на объекте от каждого стержневого молниеприемника или каждой стойки тросового молниеприемника должно быть обеспечено не менее двух токоотводов.
Высота расположения конуса молниеприемников над уровнем земли – 23,5 м.
Расчет зоны защиты двойного стержневого молниеотвода для зоны Б
hх = 10 м – высота защищаемой зоны (высота здания);
ho = 0,92*h = 0,92*23,5 = 21,62 м, - высота конуса зоны защиты;
где h = 23,5 м – высота молниеприемника;
ro = 1,5*h = 35,25 м – радиус конуса на уровне земли;
rx = 1,5*(h - hx/0,92) = 1,5*(23,5 - 10/0,92) = 18,95 м – высота конуса на уровне защищаемого объекта.
Для двойного молниеотвода:
hс = h0 – (0,17 + 3*10-4*h)*(L - h) = 21.62 – (0,17 + 3*10-4*23,5)*(40-23,5) = 18.93 м;
rc = r0 = 35,25 м;
rcx = r0*(hc - hx)/hc = 35,25*(18,93 – 10)/18,93 = 16,63 м.
Границы зон защиты — см. чертежи настоящего проекта.
В качестве токоотводов используется сталь омедненная диаметром 8 мм (GL-11149).
Прокладка токоотводов от молниеприемников осуществляется: на вертикальных поверхностях (труба, стена здания) – на зажимах GL-11703A; на плоских поверхностях (кровля) – с помощью зажима GL-11706 (держатель на плоскую кровлю для токоотвода D8 мм, для приклеивания, пластик). Шаг установки зажимов 0,6-1,0 м. Для соединения проката по длине и в узлах сетки используется универсальный зажим GL-11551A.
Расчет сопротивления заземляющего устройства
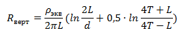
Сопротивление вертикального электрода:

ρэкв – эквивалентное удельное сопротивление грунта, Ом·м;
L – длина вертикального электрода, м;
d – диаметр вертикального электрода, м;
T – заглубление - расстояние от поверхности земли до заземлителя, м.

где t – заглубление верха электрода, м.
T = 3/2 + 0,5 = 2 м
Rверт = 68,5
Сопротивление горизонтального электрода:

где:
ρ – удельное сопротивление грунта, Ом·м;
b – ширина полосы горизонтального электрода, м;
h – глубина заложения горизонтальной сетки, м;
Lгор – длина горизонтального электрода, м.
Rгор = 3,2 Ом
Полное сопротивление заземляющего устройства:

где:
n – количество комплектов;
kисп гр – коэффициент использования;
kисп = 0,8;
Rзу = 1/0,8*(4/68,5 + 1/3,2) = 3,34 Ом
Расчетное сопротивление заземляющего устройства составляет 3,34 Ом, что меньше допустимого сопротивления 10 Ом.
Перечень необходимых материалов:
Приложение: проект в форматах DWG и PDF
Файлы в форматах DWG и PDF доступны для скачивания только авторизованным пользователям.
Вам требуется выполнить проект по заземлению и молниезащите? Закажите его, обратившись в Технический центр ZANDZ.com!
Остались вопросы по данному расчету? Задайте его в комментарии к этой странице!
Смотрите также:














