Задание:
Объект: объект с наружным видеонаблюдением.
Грунт: суглинок.
Удельное сопротивление грунта: 160 Ом·м.
Необходимо провести расчет внешней, внутренней молниезащиты и заземления с сопротивлением не более 10 Ом, предложить решение по защите здания и электрооборудования от импульсных перенапряжений.
Решение:
Мероприятия по защите объекта от молнии выполнены в соответствии с ПУЭ 7-е изд. Глава 1.7, СО 153-34.21.122-2003 «Инструкция по устройству молниезащиты зданий, сооружений и промышленных коммуникаций» (далее СО) и РД 34.21.122-87 «Инструкция по устройству молниезащиты зданий и сооружений» (далее РД).
Объект относится к обычным с точки зрения молниезащиты объектов. По РД объект видеонаблюдения соответствует зоне Б, по СО – зона защиты с коэффициентом 0,9.
Защита здания от разрядов молнии осуществляется с помощью молниеотводов, токоотводов и заземлителей. Молниеотвод представляет собой возвышающееся над защищаемым объектом металлические стержни, которые принимают на себя разряд молнии. Образовавшийся ток разряда переносится по токоотводам несколькими кратчайшими путями к заземлителю. Заземлитель расположен в земле, выполнен из горизонтального проводника и вертикальных электродов.
В качестве молниеприёмника выступают молниеприемники-мачты ZZ-201-004, расположенные на дымоходных трубах.
Комплекс мероприятий по обеспечению необходимых требований к системе молниезащиты представлен следующими решениями:
- Молниеприемники крепятся на держателях ZZ-203-002 на дымоходных трубах (расстояние между лапами до 1 м). Подключение к токоотводу производится при помощи зажима ZZ-202-001. На коньках эркеров устанавливаются коньковые молниеприемники высотой 2 м (GL-11521SS), которые крепятся при помощи держателей GL-11525.
- Токоотводы выполняются при помощи проводника - сталь омедненная диаметром 8 мм, толщина покрытия 70 мкм (GL-11149).
- Установка токоотводов осуществляется при помощи зажима GL-11747A - на кровле, GL-11703A - на вертикальных поверхностях. Шаг установки зажимов – 0,8-1,0 м.
- Для соединения проката по длине и в узлах соединения используется универсальный зажим GL-11551A.
- Все металлические элементы, размещенные на кровле, необходимо присоединить к токоотводам, при помощи зажима GL-11514 или GL-11545А.
- В качестве заземляющего устройства используются 3 вертикальных электрода длинной 3 м объединенных заземляющим проводником - полосой стальной омеднённой 30х4 мм (GL-11075). Расстояние от заземлителей до объекта не менее 1 м.
- Токоотводы подключаются к заземляющему проводнику при помощи зажимов GL-11562A.
Для защиты телекоммуникационного и прочего электрооборудования здания от импульсных перенапряжений вызванных ударами молний или сетевыми перенапряжениями, проектом предусматривается защита от перенапряжений на вводе в здание, установкой ограничителя от импульсных перенапряжений класса 1+2 (Основная) Power Pro BC TNS 25/100 LE-373-950 ; во вторичных цепях для дополнительной защиты устанавливается ограничитель класса 2 типа EnerPro C TN 275 LE-381-247 для защиты видеокамер и телекоммуникационного оборудования в цепи видеокамер устанавливаются ограничитель от перенапряжений для коаксиальных систем DataPro-Koax-8V-BNC 75 Ohm LE-544-340.
Расчет заземляющего устройства
В соответствии с ПУЭ 7 изд. п. 1.7.103 общее сопротивление растеканию заземлителей (в том числе естественных) всех повторных заземлений PEN-проводника каждой ВЛ в любое время года должно быть не более 10 Ом соответственно при линейных напряжениях 380 В источника трехфазного тока или 220 В источника однофазного тока.
Расчет заземления проведен с помощью программного обеспечения, разработанного ОАО «Энергетический институт им. Г.М.Кржижановского» (ОАО «ЭНИН»).
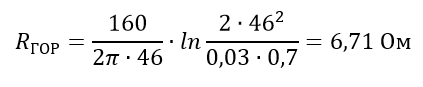
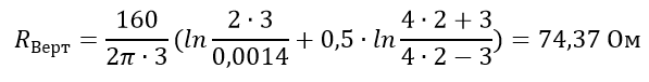
В качестве расчетного удельного сопротивление грунта типа суглинок принимается значение 160 Ом∙м.
Предварительно намечаем 3 вертикальных электродов длиной 3 м, вбитых в землю на глубину 0,7 м.
Сопротивление горизонтального электрода:

ρ – удельное сопротивление грунта, Ом·м;
b – ширина полосы горизонтального электрода, м;
h – глубина заложения горизонтальной сетки, м;
Lгор – длина горизонтального электрода, м.
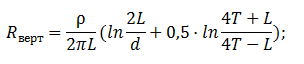
Сопротивление вертикального электрода:

ρ – удельное сопротивление грунта, Ом·м;
L – длина вертикального электрода, м;
d – диаметр вертикального электрода, м;
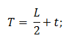
T – заглубление - расстояние от поверхности земли до заземлителя, м;

где t – заглубление верха электрода, м.
Полное сопротивление заземляющего устройства:

где n – количество комплектов;
kисп – коэффициент использования;



Расчетное сопротивление заземляющего устройства равняется 7,14 Ом, что меньше требуемого значения 10 Ом.
Перечень необходимых материалов:
Приложение: проект в форматах DWG и PDF
Файлы в форматах DWG и PDF доступны для скачивания только авторизованным пользователям.
Вам требуется выполнить проект по заземлению и молниезащите? Закажите его, обратившись в Технический центр ZANDZ.com!
Остались вопросы по данному расчету? Задайте его в комментарии к этой странице!
Смотрите также:























