Пятая часть статьи "Молниезащита зданий рядовой высоты со сплошным остеклением стен".
Читайте предыдущую часть "4. Практические рекомендации по молниезащите".
Проблема возникла в связи тем, что в недостаточно надежно защищенную часть стен здания у его кровли возможен прямой удар нисходящей молнии. При его контакте со стеклом стеклопакета реален пробой стекла, выступающего в роли диэлектрического барьера. Осуществление такого события происходит для слабейших молний с малой длиной стримерной зоны, не способной коснуться одновременно стекла и заземленной металлической арматуры стеклопакета. Молнии такого типа слабы и характеризуются током всего в единицы килоампер. Именно он имеет возможность непосредственно воздействовать на человека внутри защищаемого объема.

Рис. 10
Условия возбуждения фибрилляции сердца с вероятностью с1 -5%, с2 -50%, с3- 95%
Контакт слабой молнии с телом человека наиболее опасен при возбуждении фибрилляции сердца. Экспериментальная зависимость на рис. 10, получена специалистами МЭК и демонстрирует зависимость времени воздействия тока в теле человека от его величины в условиях возбуждения фибрилляции. Внедренная в отечественные нормативные документы по молниезащите, зависимость тем не менее вызывает далеко не один недоуменный вопрос. Тем более, что МЭК не представил никаких сведений о происхождении обсуждаемой зависимости. Это эксперимент или какие-то теоретические построения и экстраполяция? Уже только штриховое начертание двух правых линий вызывает подобный вопрос. Ответа, естественно, нет. Но ведь и других данных нет тоже. Сравнивать не с чем. Приходится довольствоваться тем, что представлено. И тут возникает целый ряд дополнительных безответных вопросов.
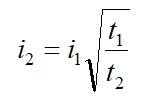
i2 = i1t1/t2
В предположении о постоянстве энергии выражение для пересчета имеет вид

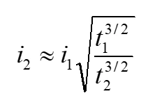
Численная проверка с использованием зависимостей рис. 10 для времени воздействия тока 0,1 – 10 мс показала, что результаты пересчета и по постоянству энергии, и по постоянству заряда недопустимы, поскольку они ведут к погрешности на уровне сотен процентов.
Существенно большего внимания заслуживает пересчет по среднему геометрическому из рассмотренных вариантов, что обеспечивается расчетным выражением

тоже обладающим вполне реальной, но все-таки заметно меньшей погрешностью. Подход, конечно, не очень утешительный, но это лучше, чем ничего. Именно это выражение использовано в конкретных расчетных оценках. Они показали, что при типичном времени воздействия тока в 100 мкс ток в теле человека величиной в 6 А возбуждает фибрилляцию с вероятностью около 5%, а ток в 20 А доводит ее вероятность до 95%.
Чтобы оценить опасные уровни воздействующего напряжения, следует принять во внимание, что минимальное сопротивление тела человека по пути рука – рука равно примерно 500 Ом. Это значит, что при времени воздействия 100 мкс с вероятностью 5% опасны напряжения не более 3000 В, а при напряжении 10000 В вероятность опасности возрастает до 95%.
Даже слабейшая молния с током на уровне 1 кА несет на своем канале напряжение мегавольтного уровня и потому непосредственный контакт с ее каналом опасен возбуждением фибрилляции сердца.
Любой пробой стеклопакета в состоянии представлять смертельную опасность, если не исключена возможность его контакта с человеком.
Э. М. Базелян, д.т.н., профессор
признанный отечественный Эксперт в области заземления и молниезащиты
Смотрите также:

