В данном разделе рассмотрено решение по внешней системе молниезащиты газгольдера, расположенного на территории пункта перекачки газа.

Исходные данные для разработки проекта в части молниезащиты:
- объект: газгольдер (пункт перекачки газа);
- архитектурные чертежи объекта;
- высота объекта: 40 м;
- диаметр объекта: 38 м;
- Объект относится (по ПУЭ) к зоне класса В1;
- удельное электрическое сопротивление грунта: 100 Ом*м.
Общие данные
Технические решения принятые в проектной документации соответствуют требованиям экологических, санитарно-гигиенических, противопожарных и других норм действующих на территории Российской Федерации и обеспечивают безопасную для жизни и здоровья людей эксплуатацию объекта, при соблюдении предусмотренных проектными чертежами мероприятий. Проектная документация соответствует требованиям действующих нормативных документов.
Молниезащита объекта
В данном разделе рассмотрено решение по внешней системе молниезащиты газгольдера, расположенного на территории пункта перекачки газа.
Газгольдер относится к "специальным, представляющим опасность для непосредственного окружения" с точки зрения "ИНСТРУКЦИИ ПО УСТРОЙСТВУ МОЛНИЕЗАЩИТЫ ЗДАНИЙ, СООРУЖЕНИЙ И ПРОМЫШЛЕННЫХ КОММУНИКАЦИЙ" СО 153-34.21.122-2003 и к "I категории" в соответствии с "ИНСТРУКЦИЕЙ ПО УСТРОЙСТВУ МОЛНИЕЗАЩИТЫ ЗДАНИЙ И СООРУЖЕНИЙ" РД 34.21.122-87. Необходимая надежность системы молниезащиты должна быть не менее 0,995.
Молниезащита объекта выполнена при помощи четырех отдельно стоящих молниеприёмников высотой 54 м. Расстояние до объекта должно быть не менее 5 м, согласно РД 34.21.122-87, п.2.3.
Согласко СО 153-34.21.122-87, п.3.3.1. В общем случае выбор молниеотводов должен производиться при помощи соответствующих компьютерных программ, способных вычислять зоны защиты или вероятность прорыва молнии в объект (группу объектов) любой конфигурации при произвольном расположении практически любого числа молниеотводов различных типов.
В дополнении к СО 153-34.21.122-2003, "РЕКОМЕНДАЦИИ ПО ЭКСПЛУАТАЦИОННО ТЕХНИЧЕСКОЙ ДОКУМЕНТАЦИИ, ПОРЯДКУ ПРИЕМКИ В ЭКСПЛУАТАЦИЮ И ЭКСПЛУАТАЦИИ УСТРОЙСТВ МОЛНИЕЗАЩИТЫ" указано:
При проверке надежности защиты с использованием программного обеспечения приводятся данные компьютерных расчетов в виде сводки проектных вариантов и
формируется заключение об их эффективности.
Расчет надежности системы молниезащиты выполнен в соответствии с техническим циркуляром № 25/2009 ассоциации «РОСЭЛЕКТРОМОНТАЖ» «ОБ ИСПОЛЬЗОВАНИИ СПЕЦИАЛИЗИРОВАННОГО ПРОГРАММНОГО ОБЕСПЕЧЕНИЯ ДЛЯ РАСЧЕТА ЭФФЕКТИВНОСТИ ЗАЩИТНОГО ДЕЙСТВИЯ МОЛНИЕОТВОДОВ», в котором сказано:
При проектировании системы внешней молниезащиты объектов рекомендуется руководствоваться следующим:
Для оптимального построения зон защиты зданий и сооружений сложной формы, имеющих разновысокие крыши, выступающие шпили, башни, переменную геометрию, зданий высотой более 150 м, комплексов зданий и других сложных объектов следует использовать соответствующие программные продукты, например, «Программу расчета эффективности стержневых и тросовых молниеотводов статистическим методом», разработанную ОАО «ЭНИН».
Заземляющее устройство молниезащиты выполняется в соответствии с РД 34.21.122-87, п.2.2.г и ГОСТ Р 59789-2021, п.5.4.1, приложение D. Сопротивление заземляющего устройства должно быть не более 10 Ом.
Над дыхательным клапаном, расположенным на вершине газгольдера, защищается пространство H = 2,5 м, R = 5 м, в соответствии с РД 34.21.122-87, п.2.6.
Материалы заземляющего устройства соответствуют требованиям ГОСТ 50571.5.54-2024.
Итоги расчетов в соответствии с программным обеспечением приведены в приложении 1. Зона защиты типа "Зона А", согласно РД 34.21.122-87, приложение 1, показана на листе 7 в проекте в файле PDF.
Расчет сопротивления заземляющего устройства
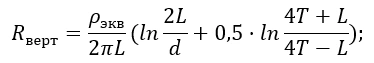
Сопротивление вертикального электрода:

где ρэкв – эквивалентное удельное сопротивление грунта, Ом·м;
L – длина вертикального электрода, м;
d – диаметр вертикального электрода, м;
T– заглубление - расстояние от поверхности земли до заземлителя, м;
Сопротивление горизонтального электрода:

где ρ – удельное сопротивление грунта, Ом·м;
b - ширина горизонтального электрода, м;
h - глубина заложения горизонтального проводника, м;
Lгор – длина горизонтального электрода, м.

где t – заглубление верха электрода, м
Полное сопротивление заземляющего устройства:

где n – количество комплектов;
kисп – коэффициент использования;

Расчетное сопротивление заземляющего устройства составляет 9,29 Ом, что соответствует ГОСТ Р 59789-2021, п.5.4.1.

Схема расположения элементов молниезащиты и заземления газгольдера
Спецификация
Приложение: проект в форматах DWG и PDF
![]() |
Вам требуется выполнить проект по заземлению и молниезащите? Закажите его, обратившись в Технический центр ZANDZ.com!
Остались вопросы по данному расчету? Задайте его в комментарии к этой странице!
Смотрите также:




